| 
				      (福建工程学院,信息科学与工程学院福建福州350108;福州华虹智能科技开发有限公司福建福州350001; 
福建工程学院,机械与汽车工程学院福建福州350108) 
基金项目:福建省自然科学基金资助项目(2013J01168)福建省教育厅资助项目(JB13142) 福建工程学院科研发展基金资助项目(GY-Z11075)福建工程学院科研启动基金资助项目(GY-Z12078) 【摘要】:为了提高井下工作面异常体勘探的准确度,详细叙述了直流电法和瞬变电磁物探技术的原理,并分析了各自的优缺点,初步探索了综合物探技术在提高探测质量中的应用。首先对一工作面进行直流电法的探测并反演成图,然后利用瞬变电磁技术对同一工作面进行探测并反演成图,最后找出直流电法和瞬变电磁技术反演成图中的共同异常区作为重点异常体。实验数据结果表示:综合物探技术更能突出工作区内异常体,更为准确地确定异常区的位置,对实际物探具有一定的指导意义。 【关健词】:直流电法;瞬变电磁;综合物探;勘探精度
      在资源探测和异常体勘查中,地球物理勘探发挥着重要作用,随着计算机技术的发展进步,物探技术在仪器设备、数据处理和软件功能等方面都获得快速的进步,资源勘探范围和质量进一步提高,出现很多的探测方法和技术,取得较好的经济效益和并拥有重要的社会价值[1-4]。然而,在当前物探过程中仍然存在着诸多问题,例如,异常体的分辨率问题、探测结果的假异常情况等等[5-7]。解决这些问题固然可以通过提高探测仪器的硬件水平,数据处理的优化手段[8]。但综合利用多种物探方法仍然不失一种新的尝试。     基于此,本文尝试利用直流电法和瞬变电磁技术对某一工作面进行联合物探,以期提高异常体的准确位置并减少假异常,从而提高物探的质量。   1、并行直流电法     直流电法主要对地下储水的情况进行探测,主要包括:地质构造特点、含水层范围、厚度以及深度的分布、基岩构造裂隙发育、煤层顶板砂岩局部富水区等。为提高探测效率,在传统电法基础上又发展出并行直流电法。 1.1并行直流电法探测条件     并行直流电法是根据地质体中岩石电性差异和空间电场分布来推断岩石分布和性质的一种地球物理勘探方法,其超前探测距离(勘探深度)与测量装置的布设长度密切相关[9]。对于不同岩性岩层的分布,灰岩电阻率最高,砂岩次之,粘土岩类最低,而一般煤层电阻率值相对较高。若岩层间存在构造破碎带时,如果构造不含水,则其导电性较差,局部电阻率值增高;反之,则其导电性增强。因此,利用这种变化规律可以完成电磁法的物探。 1.2并行直流电法探测过程     并行直流电法一般采用智能电极完成探测,各电极通过网络协议与主机实时保持联系。接受供电状态命令时,电极采样模块断开,此时处于供电状态,否则一直处于在电压采样状态,并通过通讯系统实时将测量数据送回主机。根据这种供电与测量的时序关系对自然场、一次场、二次场电压数据及电流数据自动采样,采样过程没有空闲电极出现。所采集的数据可进行自然电位、视电阻率和激发极化参数等数据处理。根据电极观测装置的不同,并行电法数据采集方式分为两种:AM法和ABM法[10]。AM法中,若某个电极接收到供电命令,则该电极通过电子开关与供电档相连,其他所有电极开关置向测量档(M极),并通过网络节点方式与N电极相连。在A供电过程中,所有的M电极同时测量与N电极的电位差Uij,Uij值分为供电前、中、后3段内容,分别对应于自然电位、一次场电位和二次场电位值。这样对阵列电极的n个电极顺次供电,其余电极进行测量,就完成了整个测线的数据采集。ABM法则通过电子开关控制阵列电极,测线上布置两个供电电极,其余为测量电极,并通过网络节点方式与电极相连。在第一轮供电测量时,将1号电极作为供电A极,2号电极首先为供电B极,其余电极同时测量电位,然后,1号电极仍为供电A极,B极移至3号电极,其余电极同时测量电位,这样顺次移动,便完成了第一轮的AB供电扫描测量。第二轮测量时则将A极移到另一位置,然后再顺次移动B极位置。这样依次测量直到A极移到n-1号电极,B极移到n号电极,便完成一条测线的测量。 1.3并行直流电法的特点     根据文献[9],直流电法因其理论成熟,现在的仪器不仅操作简单、携带方便、成本低廉等优点,而且能以较小的误差确定顺层超前探测掘进巷道前方80m范围内的含导水地质构造的位置。然而直流电法勘探仍然存在着一些不足,例如,直流电法的数据反演是基于视电阻率相对值,而这个相对值是掘进头前方某一段探测范围内的视电阻率相对值大小,与富水性的大小存在一定必然关系,但不是绝对比例关系,并且有时还会出现一定数量的“虚假”含水体。
  2、瞬变电磁探测法     瞬变电磁法(TEM)作为一种重要电磁勘探方法,它通过瞬变电磁脉冲感应产生涡流场的运动学特性来反应地质体的结构情况。 2.1瞬变电磁探测法原理 
 图1良导体瞬变电磁感应原理图      瞬变电磁法通过给发送回线提供一个电流脉冲方波,在方波下降沿瞬间,会产生一个向回线法线方向传播的一次磁场,于是在一次磁场的激励下,地质体将产生涡流,其大小取决于地质体的导电程度,在一次场消失后,该涡流将有一个缓慢衰减过程直至消失(图1)。      涡流在消失过程又会产生衰减的二次场向掌子面传播,该二次场由接收回线接收,它的变化就反映出地质体的电性分布情况[11]。如测量二次感生电动势V(t)的延迟时间不同,就会得到二次磁场随时间衰减的特性曲线。若无良导体存在,过渡衰减过程将很快结束;反之,在电源切断的一瞬间,导体内部将产生涡流以维持一次场的切断,过渡衰减过程将变慢,据此可判断导体的存在。瞬变电磁场在大地中的传播扩散形式类似于“烟圈”(图2),扩散过程中,电磁能量直接在导电介质中传播而消耗,由于趋肤效应,高频部分主要集中在地表附近,且其分布范围是源下面的局部,较低频部分传播到深处,且分布范围逐渐扩大。 2.2瞬变电磁法视电阻率     在瞬变电磁探测中,瞬变电磁测量装置接收回线中的感应电位一般为其周围空间有效探测范围内所有岩层导电性的综合响应[12]。因此,瞬变电磁视电阻率可以看做是全空间岩层导电性的综合反映,其计算公式为 
式中,C为全空间响应系数;S为接收回线线圈面积;N为线圈匝数;t为二次场衰减时间;V/I为归一化 二次场电位值。 
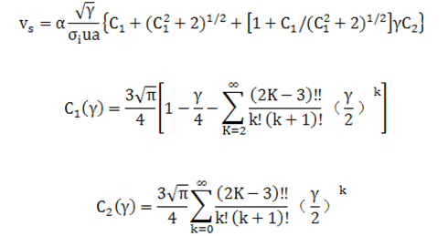
 图2全空间电场“烟圈”扩散示意图  2.3视电阻率-深度曲线数学模型     根据图2地下感应电流的分布以及电磁场的传播理论,对于地下半空间为不均匀分布的导电介质或任意导电介质分布情况下,电磁波在地下传播也要满足麦克斯韦方程组,其发射回线中心电磁场垂直扩散速度与均匀介质情况扩散速度满足一定比例关系[13-14],即任意导电介质分布情况下电磁场垂直扩散速度vs和深度D为 
     对实际测量的视电阻率-时间曲线,通过式(2)和式(3)的换算可得到视电阻率-深度曲线,根据导电介质的电性分布确定相应的深度。 2.4瞬变电磁探测特点     在实际应用过程中,瞬变电磁法对低阻的反应灵敏,其优点是具有较强的方向性、体积效应小、探测深度相对较大。但瞬变电磁法同时也易受电磁干扰影响,例如地面勘探时的高压线、信号塔等,井中勘探时的支护、掘进设备等。同时瞬变电磁的理论发展相对不完善,所测异常范围比较大,异常的位置定位一般不准确[15]。
  3、探测实例     为检查某煤矿对岩溶塌陷区注浆的效果,分别进行了地面瞬变电磁及电法探测工作。探测使用的瞬变仪器和并行电法仪器分别为福州华虹智能科技开发有限公司研制的YCS256和YDZ16(B),该仪器对低阻充水区域反映特别灵敏、体积效应小、纵横向分辨率高,且具有施工方便、快捷、效率高等优点,既可以用于煤矿掘进头前方超前探测,也可以用于侧帮、煤层顶、底板等探测,为煤矿企业在生产过程中可能存在的水患和导水构造的超前预测预报提供技术手段。 3.1瞬变电磁现场勘探     根据现场探测目的及要求,本次测线覆盖了90×30m2的岩溶塌陷区,共布置4条140m长的测线,相邻测线间隔为10m,测线上测点间隔也为10m,每个测线垂直向下探测一个数据,具体测网布置示意图如下。 
图3岩溶塌陷区瞬变电磁探测布置 
    测量完成后,根据式(2)-式(5)可得出探测范围内的视电阻率剖面图(图4),其中横坐标表示测线长度,纵坐标表示测量深度,图中不同的色调表示不同的视电阻率值,并且遵循色调从冷色调到暖色调表示视电阻率值不断升高的规律。 
 图4瞬变电磁单勘探线视电阻率值剖面图      通过联合瞬变电磁勘探线1、2、3和4的结果,可以反演出不同深度上的视电阻率值水平分布情况,如图5所示。然后根据整个立体视电阻率的情况,找出异常区在平面上的位置,如图6所示。 
图5三个不同深度上视电阻率值水平分布图 
 图6瞬变电磁探测异常区平面分布      以测线1的起点为原点,以东82°为X轴的正方向,以北向为Y轴正向建立坐标系,通过本次瞬变电磁探测结果可以看出,在整个测区出现两个视电阻率异常区域,分别在整个测区P(x,y)的(55m~70m,10m-30m)和(85m~100m,10m-30m)范围内。 3.2直流电法现场勘探     对该注浆区进行瞬变电磁勘探后,为了进一步提高勘探质量,我们用并行直流电法仪进行了现场勘探。现场共布置三条测线,如图8所示。数据采集后经软件分析处理得到探测范围内三条测线的视电阻率剖面图(图7)。与瞬变电磁一致,图中不同的色调表示不同的视电阻率值,并且色调从冷色调到暖色调也表示视电阻率值不断升高的规律。综合3条直流电法勘探线可以得出,该区域地表第四系覆盖层相对稳定,厚度在10m左右。 
图7直流电法单勘探线视电阻率值剖面图  图8直流电法勘探异常区平面分布      从图8可以看出,利用直流电法探测出一个异常区,位于工作平面(60m-90m,5m-20m)范围。 3.3综合数据分析 
 图9瞬变电磁和直流电法勘探共同异常区      从3.1和3.2分别可以得知,利用瞬变电磁和直流电法都能探测出注浆区存在着异常,但两种探测手段探测出来的区域都较为粗糙,利用瞬变电磁探测出2个异常区,而利用直流电法则探出一个异常区。但瞬变电磁异常区1和直流电法的异常区存在着部分重叠,其重叠部分在(60m-70m,10m-20m)处(图9)。结合现场条件可把此块区域为综合探测的重点异常区域,分析为岩溶裂隙发育区域,从而反映出综合物探比单一物探更能确定重点异常区的精确位置。
  4、结论     为提高井下物探的质量,分析了直流电法和瞬变电磁勘探的优缺点,并运用两种方法进行了实际地质探测。实际勘探结果标明,基于直流电法和瞬变电磁的综合探测有助于确定矿区异常体的准确位置,对实际物探具有一定的指导意义。
  参考文献: [1]宁书年,张绍红,等.无线电波层析成像技术及在矿井坑透中的应用[J].煤炭学报,2001,26(5):468-472. [2]郭文波,李貅,薛国强,等.瞬变电磁快速成像解释系统研究[J].地球物理学报,200548(6):1400-1405. [3]刘树才,刘鑫明,姜志海,等.煤层底板导水裂隙演化规律的电法探测研究[J].2009,28(2):348-356. [4]韩连生,范广海,贾建军,等.地震映像法在铁矿隐伏空区探测中的应用研究[J].2012,9(4):469-472. [5]刘焕新,王利宏,刘树才.坑透高精度CT层析成像测量方法试验研究[J].山东煤炭科技,2010,(1):103-105. [6]冀学宏.论影响无线电波坑透的干扰因素及排除方法[J].西山科技,2001,6:18-22. [7]顾中华.高密度电法探测溶洞成果精度分析[J].勘察科学技术,2008,4:27-41. [8]徐宪国,王式东.提高物探工作质量与观测精度及室内计算的关系[J].硅谷,2010,13:143. [9]吴超凡,邱占林,廖存金,等.矿井直流电法在福建小煤矿探测水中的应用[J].煤炭技术,2012,31(9):116-118. [10]王勃,刘盛东,张朋,等.采用网络并行电法仪进行煤矿底板动态监测[J].中国煤炭地质,2009,21(3):54-57. [11]于景邨,刘志新,刘树才,等.深部采场突水构造矿井瞬变电磁法探查理论及应用[J].煤炭学报,2007,32(8):818-821. [12]蒋邦远.实用近区磁源瞬变电磁法勘探[M].北京:地质出版社,1998. [13]RaicheAP.Gallagher RG.Apparent resistivity and diffusion velocity[J].Journal of Applied Geophysics,2000,44:1628-1633. [14]KaufmanAA,KellerGV.频率域和时间域电磁测深[M].北京:地质出版社,1987. [15]沈宏亮,徐晶.井下瞬变电磁勘探优缺点分析[J].电子测试.2013,8:268-269. 
		
		
				 |