关键词:无线电波透视;工作面;陷落柱
1研究现状与背景
无线电波透视技术于20世纪70年代从国外引入中国。此前,苏联、英国、德国等主要产煤国在矿井物探方面已开展研究,他们主要依赖矿井地震法(如槽波地震)和矿井电磁法(包括坑透法)来探测工作面内部构造。
欧美国家更早地将CT成像(CT)技术引入到坑透数据的处理和解释中,通过反演算法来定量表征异常体的形态和属性,提高了探测的分辨率和解释精度。
近年来,国外学者(如Liu and Lane, 1998)也进行了一些数值模拟研究,试图提高坑透技术的分辨能力和解释精度。然而,总体而言,国外在坑透技术方面的公开文献和基础理论研究相对较少。
中国是煤炭生产和消费大国,由于陷落柱等地质构造的存在,其给煤矿的安全生产带来极大的困难。自20世纪70年代引入无线电波技术后,坑透法在全国各大煤矿迅速推广,已成为目前国内工作面内地质构造探查最普遍采用的物探手段之一,因此,了解掌握无线电波透视技术对陷落柱的响应特征对该技术的有效应用非常重要。 2 坑透法基本原理
电磁波在煤层中传播时,由于煤层、陷落柱电性(介电常数和电阻率)不同,电磁波能量吸收情况不同。陷落柱对电磁波具有较强的反射和吸收作用,当波前进方向遇到陷落柱边界面时,电磁波将在界面上产生反射和折射作用,造成能量的损耗,致使接收巷道中的电磁波信号十分微弱,甚至接收不到透射信号,形成所谓的透射异常,又称阴影异常,见图1。研究陷落柱对电磁波的影响所造成的各种坑透异常,从而进行地质推断和解释,这就是坑透法的基本原理。

a) 矿井巷道工作布置图

b)衰减曲线剖面图
图1 电磁波透视法工作原理图
坑透的解释方法有综合曲线法和CT成像法两种。
3.1 综合曲线法
将各接收点实测场强E值与相应的理论计算场强E0进行对比,取得的数据称为屏蔽系数P,即:
P=E/E0 (1)
取接收点点位为横坐标,取E、E0和P为纵坐标,将同一发射点对应接收点的实测场强E、理论场强E0或衰减系数P按比例绘制成图,就得到一条曲线,称为综合曲线,见图2,根据图2中的曲线特征,可确定出异常体的边界点。综合曲线图是坑透法解释推断的重要图件。

图2 综合曲线图
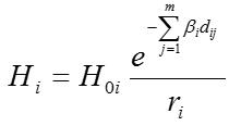
工作面电磁波透视法采用偶极子天线发射,在介质中任意点的磁场表达式可表示为:

式中:
H0—决定于发射功率和天线周围介质的初始场强;
β—介质对电磁波能量的吸收系数;
γ—观测点到辐射源的直线距离;
sinθ——方向性因子,一般可认为等于1。
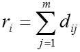
把坑透工作面划分成有不同吸收系数的若干小单元(像元),每一小单元内可视为介质均匀的。假设电磁波的第i个传播路径为ri,则它可以表示为若干小单元的距离之和:


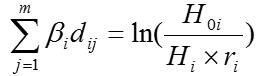
两端取对数有:

若在多个发射点上对场强分别进行多重观测,便可形成矩阵方程:
[X][D]=[Y]
式中:[X]—— βi未知数矩阵;
[D]——

利用SIRT算法(Simultaneous Iterative Reconstruction Techniques,同时迭代重构技术),计算矩阵方程可以反演各像元吸收系数值,从而实现工作面成像区内吸收系统反演成像。利用反演计算结果可以绘制成像区吸收系数等值线图和色谱图。

图3 无线电波透视交会法解释示意图
案例一:
某矿8719工作面为矩形工作面,回风巷长994m,切眼长200m,进风巷长994m。此次坑透法采用“一发一收”探测方法,即在一条巷道中布置发射点,发射点距为50m,在另一条巷道中设置接收信号段,接收段位于发射点两侧各50m,即布置11个接收点。这种方法也叫定点观测法,通过这种方法对工作面内煤层形成透视。每个发射点得到一条回归曲线,见图4、5。最终得到工作面CT成像图,见图6。两图结合可很好地解释该区域存在地质构造,依据回归曲线的“U”字型特征,可以判断该地质构造为陷落柱。

图4 回风巷50#点发射进风巷40-50#点接收坑透异常区(陷落柱)综合曲线图

图5 回风巷55#点发射进风巷50-60#点接收坑透异常区(陷落柱)综合曲线图

图6 回风巷50#、55#点发射对应接收点探测区域坑透CT成像图

图7 回风巷50#、55#点发射进风巷40-60#点接收坑透探测陷落柱验证图
某矿8228工作面为矩形工作面,回风巷长1450m,切眼长200m,进风巷长1450m。此次坑透法采用“一发一收”探测方法,即在一条巷道中布置发射点,发射点距为50m,在另一条巷道中设置接收信号段,接收段位于发射点两侧各50m,即布置11个接收点。这种方法也叫定点观测法,通过这种方法对工作面内煤层形成透视。每个发射点得到一条回归曲线,见图8、9。最终得到工作面CT成像图,见图10。两图结合可很好地解释该区域存在地质构造,依据回归曲线的“U”字型特征,可以判断该地质构造为陷落柱。

图8 进风巷121#点发射回风巷116-126#点接收坑透异常区(陷落柱)综合曲线图

图9 进风巷126#点发射回风巷121-131#点接收坑透异常区(陷落柱)综合曲线图

图10 进风巷121#、126#点发射对应接收点探测区域坑透CT成像图

图11 进风巷121#、126#点发射回风巷116-131#点接收坑透探测陷落柱验证图
坑透法对陷落柱探测具有显著有效性和高分辨率。研究结果表明,陷落柱作为一种典型的地质异常体,其内部破碎、松散的岩体对电磁波具有强烈的吸收和散射效应,在坑透综合曲线图呈现典型的“U”字型特征,CT成像图上表现为非常清晰的条带状或圈闭状的低值异常区(吸收系数η值显著高于背景值)。本次探测圈定的异常区形态规整、边界清晰,与后期钻探揭露的陷落柱位置、范围高度吻合,充分证明了该方法在识别和圈定陷落柱空间形态方面的有效性和可靠性。
参考文献
[1]汤友谊,陈江峰,彭立世.无线电波坑道透视构造煤的研究[J].煤炭学报,2002,27(3):254-258.
[2]张红果,李占文,邹海滨.无线电波透视法在煤矿中的应用[J].煤炭科学技术,2002,30(7):28-30.
[3]董守华,王琦.层析成像在巷道无线电波透视法中的应用[J].中国矿业大学学报,2003,32(5):579-582.