关键词:随掘地震;超前探测;掘进机震源;反射波场分离
0引言
煤矿掘进巷道前方的断层、陷落柱及老窑采空区等地质异常体严重影响了正常生产作业,而且此类异常体经常伴随有水害及瓦斯突出等影响矿工人身安全的地质灾害,因此对掘进巷道开展地球物理超前探测有十分重要的意义”。在众多地球物理探测手段中,弹性波勘探是一种比较成熟且有效的方法口,但以炸药作为震源的传统弹性波勘探存在很多局限性:第一,掘进巷道空间狭窄排风条件有限,容易导致瓦斯聚集,炸药引爆过程存在较大的安全隐患:第二,利用炸药开展勘探时,必须停止采掘、运输及支护等其它施工,并且要为风筒、采掘机及掘进巷道其它设备的脆弱部分加装额外保护装置,影响正常生产作业:第三,炸药激发结束后,产生大量粉尘,严重影响矿工作业环境。基于上述约束,将掘进机截割煤岩的振动能量作为震源的随掘地震勘探技术逐渐受到行业的关注,其在避免炸药震源带来的各种安全隐患的同时,可以在掘进过程中实时对前方地质异常体开展同步探测的团。但由于掘进机截割煤岩的能量小于炸药激发的振动能量,并且掘进巷道环境复杂,存在各种电缆、锚护设备、风筒、水泵等设备,在很大程度上将低了采集数据的信噪比。为了提升矿井地震勘探数据的信噪比,笔者在简单回顾了反射波法隧道、井巷地震超前预报的地球物理学基本理论和工作原理的基础上,重点研究了F-K域反射波提取法和τ-p域滤波反射波提取法联合滤波,取得了良好的效果。
将TBM震源波场经过干涉后巷道前方反射波传播规律已近似等同于单次激发波场,巷道超前目标体主要集中在巷道前方,而前方的地质信息完全体现在来自巷道前方反射波组中,因此,有效的提取巷道前方的反射波成为MSP的关键技术之一。从时距曲线规律反应出,在线性观测系统条件下,巷道前方界面均表现出负视速度特征,而后方界面、侧方界面均表现出正视速度。本文基于此视速度差异规律,采用F-K滤波、τ-p滤波方法提取出巷道前方界面反射波,同时压制声波、面波等干扰波提高数据信噪比。
1 F-K域反射波提取法
(1)F-K域滤波基本原理
F-K域滤波是依据有效信号与干扰信号在频率-波数域(F-K域)中视速度域的差异来提取有效波,称为视速度滤波。其原理是基于二维傅氏变换将地震记录从t-x域变换至F-K域,根据所要保留的视速度范围在F-K域中设定滤波因子,最后经过二维傅氏反变换至t-x域,即可提取指定的信号。正、反变换公式如下:

式中:
g(t,x)——t-x域二维地震记录,如共炮点记录或共接收点记录;
G(f,k)——频率波数域变换结果,
K——波数。
在F-K域中,频率、视速度和视波数之间有如下关系:V=f/k
由该式可知,当空间采样合适,地震波信号在t-x域中不同视速度的同相轴信号在F-K域中因V的不同而自动分离。
g(t,x)——t-x域二维地震记录,如共炮点记录或共接收点记录;
G(f,k)——频率波数域变换结果,
K——波数。
在F-K域中,频率、视速度和视波数之间有如下关系:V=f/k
由该式可知,当空间采样合适,地震波信号在t-x域中不同视速度的同相轴信号在F-K域中因V的不同而自动分离。

图1 F-K变换结果示意图
图1为F-K变换示意图,图a为t-x域,存在同相轴曲线①和曲线②,前者视速度为正,后者视速度为负,且曲线①具有多个视速度(多个切线值)。因此在F-K(图b)域中两者完全分开,曲线①的在正K区间且能量呈扇形分布,而曲线②能量在负K区间,因为有唯一视速度故仍表现为线状。
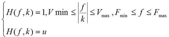
(2)滤波因子确定
此时根据信号的频率和视速度的性质设计出不同的滤波器,保留所要提取的目标信号,达到滤波的目的。在F-K域中,根据不同的目的可设计多种滤波器。本文选用了扇形带通滤波器。滤波因子公式如下:
(2)滤波因子确定
此时根据信号的频率和视速度的性质设计出不同的滤波器,保留所要提取的目标信号,达到滤波的目的。在F-K域中,根据不同的目的可设计多种滤波器。本文选用了扇形带通滤波器。滤波因子公式如下:

为了避免出现吉布斯效应,需对滤波窗口边界进行连续圆滑处理,即镶边处理,本文选用了余弦镶边方式来确定u值。
(3)F-K域滤波实现
根据上述F-K域滤波原理,F-K域滤波实现流程如下图。
(3)F-K域滤波实现
根据上述F-K域滤波原理,F-K域滤波实现流程如下图。

图2 F-K滤波实现流程图
算法实现时,由于MSP在实际探测时激发的记录相对较少仅为几十道,因此信号采集时,需同时考虑时间域与空间域的采样假频。
2τ-p域滤波反射波提取
(1)τ-p域滤波基本原理
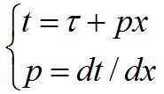
τ-p变换就是在t-x域中将由斜率p和截距τ确定的直线路径所有振幅进行叠加求和,因此τ-p变换又称为倾斜叠加或线性Randon变换。t-x域和τ-p域内描述波场的参量存在如下关系:
2τ-p域滤波反射波提取
(1)τ-p域滤波基本原理
τ-p变换就是在t-x域中将由斜率p和截距τ确定的直线路径所有振幅进行叠加求和,因此τ-p变换又称为倾斜叠加或线性Randon变换。t-x域和τ-p域内描述波场的参量存在如下关系:

式中:
t——t-x域中的波旅行时间;
x——为炮检距;
p——为射线变量(水平波慢度);
τ——射线变量在时间轴上的截距。
t——t-x域中的波旅行时间;
x——为炮检距;
p——为射线变量(水平波慢度);
τ——射线变量在时间轴上的截距。

图3 提取前的超声波记录 图4 经F-K提取后的记录
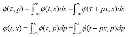
设(t,x)域的二维信号φ(t,x),经转换到(τ,p)域后的二维信号为φ(τ,p),则τ-p的正反变换公式为:

根据τ-p变换可知:
①(t,x)域中的点经变换后在(τ,p)域中为一条直线;
②(t,x)域中的一条直线变换后在(τ,p)域中为一个点;
③(t,x)域中的双曲线变换后在(τ,p)域中为一个椭圆弧;
(2)消除τ-p变换中的假频与端点效应
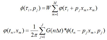
由于变换存在假频与端点效应,本文利用相似函数法和滤波法来消除由于上述效应引起的记录畸变。此时,τ-p的正反变换离散公式为:
①(t,x)域中的点经变换后在(τ,p)域中为一条直线;
②(t,x)域中的一条直线变换后在(τ,p)域中为一个点;
③(t,x)域中的双曲线变换后在(τ,p)域中为一个椭圆弧;
(2)消除τ-p变换中的假频与端点效应
由于变换存在假频与端点效应,本文利用相似函数法和滤波法来消除由于上述效应引起的记录畸变。此时,τ-p的正反变换离散公式为:

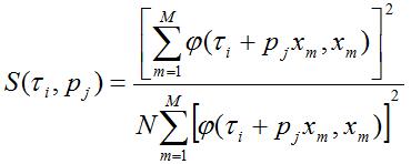
式中:
τi,pj——分别为指定的第i个τ值与第j个p值;
m,M——记录中第m个道,M为记录总道数。
W——根据相似函数所确定的权值。
tn——指定的第n个时间值;
xm——指定源检距,可取原记录相应的源检距;
J——τ-p域记录p方向的总道数,
△t——记录采样间隔。
τi,pj——分别为指定的第i个τ值与第j个p值;
m,M——记录中第m个道,M为记录总道数。
W——根据相似函数所确定的权值。
tn——指定的第n个时间值;
xm——指定源检距,可取原记录相应的源检距;
J——τ-p域记录p方向的总道数,
△t——记录采样间隔。

根据S值将权系数W确定为:

G值由当前记录的采样间隔与当前采样点决定,公式如下:

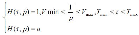
(3)滤波因子确定
τ-p域滤波因子的确定类似于F-K域滤波,不同在于此时需确定p和τ值范围,
τ-p域滤波因子的确定类似于F-K域滤波,不同在于此时需确定p和τ值范围,

(4)τ-p域滤波实现
根据上述τ-p的基本原理,本文所实现的流程为:
根据上述τ-p的基本原理,本文所实现的流程为:

图5 τ-p域滤波实现流程
3 F-K与τ-p域联合滤波
从上文两种滤波方法的基本原理可以发现,F-K滤波是横向与纵向两次扫描滤波,即在频率与波数方向各进行一次一维滤波。F-K域的优势在于利用速度差异的同时可以利用信号在频率上的区别进行压制噪声,如面波压制。但不足之处在于,由于F-K域需对空间方向(X方向)做FFT,因此当空间采样率不足或采样道数很少时产生空间假频,影响滤波效果。
τ-p域滤波利用线性叠加的原理,由巷道前方的信号位于负P区间,该方法对于巷道前方的高倾角界面特别有利,除此以外对于直达波、声波、面波等在τ上截距较小的干扰波,可以利用了时间(τ)带通进行压制。不足之处在于如果正速度波组能量较强的情况下,受其影响τ-p正变换产生较严重的端点效应,从而影响
反射波提取效果,除此以外从处理也发现中τ-p变换往往会产生低频噪声。
从上文两种滤波方法的基本原理可以发现,F-K滤波是横向与纵向两次扫描滤波,即在频率与波数方向各进行一次一维滤波。F-K域的优势在于利用速度差异的同时可以利用信号在频率上的区别进行压制噪声,如面波压制。但不足之处在于,由于F-K域需对空间方向(X方向)做FFT,因此当空间采样率不足或采样道数很少时产生空间假频,影响滤波效果。
τ-p域滤波利用线性叠加的原理,由巷道前方的信号位于负P区间,该方法对于巷道前方的高倾角界面特别有利,除此以外对于直达波、声波、面波等在τ上截距较小的干扰波,可以利用了时间(τ)带通进行压制。不足之处在于如果正速度波组能量较强的情况下,受其影响τ-p正变换产生较严重的端点效应,从而影响
反射波提取效果,除此以外从处理也发现中τ-p变换往往会产生低频噪声。

图6 τ-p域滤波实例
根据上述滤波方法的优缺点,本文采用将两种方法联合进行滤波。首先通过τ-p域,时间上采用时间区间,提取后续的反射信号;再利用F-K方法、通过宽速度域,窄频带进行二次反射波提取,压制由于τ-p滤波所产生的假频、低频现象。图6为实际地震记录反射提取实例,从提取的结果来看,负视速度方向的反射波得到了很好的加强。但同时产生一定的同速度干扰。

图7 实际地震记录τ-p和F-K联合反射提取
4 结论
提取有效反射信号的方法较多,但从实践中发现,采用单独方法实现波场分离效果不十分理想,本系统不求通过单一滤波方法实现彻底的波场分离利去噪,,而是采用上述两种方法联合波,即采用F-K变换与τ-p变换联合滤波充分利用它们各自的优点,避开其缺点进行滤波。首先通过F-K变换进行宽频宽视速度滤波,削弱一部分下行波能量,同时滤除高、低频噪声成分,然后再通过τ-p变换进行精细调节合适参数滤波,真正实现波场分离及去噪。此方法波场分离彻底,效果比较理想。
参考文献
[1]张平松,刘盛东,李培根.井巷煤岩体内构造特征反射波探测技术与应用[J].矿业安全与环保,2006(3):98-100
[2]王梦倩,岳建华,刘盛东.反射波超前成像预报系统及其应用[J].地球物理学进展,2014,29(3):1439-1444WANG Mengqian,YUE Janhua,LIU Shengdong.Reflection waveimaging advance forecast system and its application[ J] .Progress inGeophysics ,2014,29 ( 3 ) :1439- 1444.
[3]张平松,刘盛东,吴健生.坑道掘进空间反射波超前探测技术[J].煤炭学报,2010,35(8) :1331-1335.ZHANG Pingsong, LIU shengdong, WU jiansheng. Tunnel reflec-tion wave imaging technology and its system during driving space[J]. Journal of China Coal Society ,2010,35( 08 ) :1331-1335
[4]吴律.τ-p变换及应用[M].北京:石油工业出版社,1993
[5]J.F.克莱鲍特地成像理论及方法[M]北京:石油工业出版社1991
[6]杨立财,王怀强.隧道施工超前地质预报技术应用研究[J].西部探矿工程2004,103(12):114~116
提取有效反射信号的方法较多,但从实践中发现,采用单独方法实现波场分离效果不十分理想,本系统不求通过单一滤波方法实现彻底的波场分离利去噪,,而是采用上述两种方法联合波,即采用F-K变换与τ-p变换联合滤波充分利用它们各自的优点,避开其缺点进行滤波。首先通过F-K变换进行宽频宽视速度滤波,削弱一部分下行波能量,同时滤除高、低频噪声成分,然后再通过τ-p变换进行精细调节合适参数滤波,真正实现波场分离及去噪。此方法波场分离彻底,效果比较理想。
参考文献
[1]张平松,刘盛东,李培根.井巷煤岩体内构造特征反射波探测技术与应用[J].矿业安全与环保,2006(3):98-100
[2]王梦倩,岳建华,刘盛东.反射波超前成像预报系统及其应用[J].地球物理学进展,2014,29(3):1439-1444WANG Mengqian,YUE Janhua,LIU Shengdong.Reflection waveimaging advance forecast system and its application[ J] .Progress inGeophysics ,2014,29 ( 3 ) :1439- 1444.
[3]张平松,刘盛东,吴健生.坑道掘进空间反射波超前探测技术[J].煤炭学报,2010,35(8) :1331-1335.ZHANG Pingsong, LIU shengdong, WU jiansheng. Tunnel reflec-tion wave imaging technology and its system during driving space[J]. Journal of China Coal Society ,2010,35( 08 ) :1331-1335
[4]吴律.τ-p变换及应用[M].北京:石油工业出版社,1993
[5]J.F.克莱鲍特地成像理论及方法[M]北京:石油工业出版社1991
[6]杨立财,王怀强.隧道施工超前地质预报技术应用研究[J].西部探矿工程2004,103(12):114~116



下一篇