某矿某工作面开采受底板灰岩岩溶水水害威胁,为全面有效监测工作面回采期间底板采动破坏带对灰岩含水层的影响及地层应力变化,实现水害实时监测预警,提升工作面回采的安全可靠性,某矿根据《安徽省煤矿防治水和水资源化利用管理办法》要求,委托招投标中标单位福州华虹智能科技股份有限公司(以下简称“华虹公司”)开展某工作面底板水害微震监测工作。
一、项目概况
1、目的和任务
①监测回采工作面底板150m范围内隐伏导水构造、裂隙薄弱带等水文地质异常。
②监测工作面回采期间是否存在构造活化。
③对工作面回采期间的突水风险进行监测评价。
④每日为矿提供工作面回采期间微震监测日报;月初提供月报。
⑤在工作面回采期间如发生新增微震异常情况,及时向矿方汇报,并实行一日两报或多报。
⑥对工作面回采过程中出现的微震异常区进行分析,与矿方结合并提出针对性建议。
⑦工作面回采结束,提交《某矿某工作面微震监测成果报告》。
⑧对工作面回采期间顶板“上三带”发育规律进行总结、评价。
⑨系统运行前期驻矿技术人员1~2名,负责资料处理与解释,并为矿方培训相关技术人员,使其能熟练操作使用系统;后期是否需驻矿技术人员视情况双方协商确定。
2、工作面概况
某工作面总体构造复杂程度为简单,地层走向近南北。工作面走向长970m,倾斜长227m,煤层总厚 8.7~10.3m,平均厚度 9.5m,煤层倾角 2~8°,平均倾角 5°,煤层结构:简单~复杂。煤层性状:1煤层为黑色,粉末状,碎块状,油脂与金属光泽,亮煤为主,暗煤次之,局部有镜煤条带,属半光亮型煤,局部夹炭质页岩,厚 0~0.2m;f 值为 0.41;煤层发育稳定,属稳定型煤层。
二、矿井水害微震监测技术
1、微震监测系统布置
工作面监测长度1000 m,为了全面有效监测工作面回采期间底板采动破坏带对灰岩含水层的影响及地层应力变化,胶带机顺槽共布设11个检波器。回风顺槽共布设11个检波器。分站安装在两顺槽开口处的临时硐室中。


图1 微震监测传感器安装示意图
KJ1465矿用微震监测系统一般可以采用集中式和分布式两种布置方案,分别用于单个采场和整个矿井区域的监测。KJ1465矿用微震监测系统的检波器选用高灵敏度、宽频带的震动传感器,可以监测包含低频、中频、高频的各种岩层震动等信息,再由具有多功能的微震事件后处理软件展示和解释后为工程技术人员提供信息。在信号传输方面,KJ1465矿用微震监测系统采用了先进的电缆+光纤传输技术,光纤传输距离:单模,1310nm,最大传输距离10km,满足大型矿井的信号传输要求,监测范围也大大增加。此外,井下震动信号实时传输到地面计算机(监控、处理)后,经过自动(手动)定位、平面、剖面展示,可以清楚的了解井下微震事件的位置、能量,提供科学可靠的有用信息。
KJ1465矿用微震监测系统结构如图2所示,安装在测区内的微震检波器接收震动信号,传输至微震监测分站,通过光缆或环网将信号传经由地面光端机传输至数据采集、数据存储及处理主机(计算机),数据处理将对信号进行二次滤波、降噪处理,并进行微震事件的定位分析与多方位展示。

图2 井下系统结构图
微震是与岩石的力学现象密切相关的,岩石在外界应力作用下产生形变,当能量积聚到某一临界值时,就伴随有弹性波或应力波在周围岩体快速释放和传播,该微震现象产生的微破裂信号通过精密仪器拾取放大和过滤,经过软件计算和分析最终确定微破裂岩体所发生的位置和微震事件的发震位置、时间信息,根据岩石破裂时的时空分布规律可以推断其宏观破裂的发展趋势,判断潜在的灾害活动规律,从而为灾害风险提供预警预报。
微震事件的发震位置、时间信息是其基本属性,而相应的运动学、动力学属性需要结合地质层位、岩石物理性质、巷道工程及煤系地层的相对位置密切相关。
三、微震监测成果统计分析
1、微震事件及能量分析
工作面于2022年12月9日开始进行监测分析,2023年10月8日停采,11月30日停止监测,共358天。微震监测伴随整个回采过程,共获得12485个微震事件,日均约35个。监测期间微震系统运行状况良好,事件日变化情况如图4所示,根据事件时空演化规律及现场回采,将微震监测分为3个时段,平面图如图5所示。

图4 微震事件统计直方图

图5 工作面微震监测分段平面图
①初采期(2022.12.8~2023.1.14)受初次来压、和断层带的影响,事件数量较多,且底板事件发育较深,事件以小能量为主。
②中部断层集中带影响区(2023.1.15~2023.9.20)进去中部正常回采期后,由于地质条件简单,事件数量大幅减少;进入中部断层集中带影响区后,受揭露断层和中部物探异常影响,事件数量增加,近煤层事件占比高。事件以仍小能量事件为主,中等能量事件占比回落,大能量事件占比与初采期持平。
③末采期(2023.9.21~2023.10.8)进入末采期后,事件数量逐渐回落。小能量事件占比上升,大、中能量事件占比减小。
2、顶底板破坏分析
(1)顶板事件发育高度分析
研究微震顶板事件分布和发育高度,对于工作面进行顶板矿压管理、保障工作面安全有序开采,具有重要的指导意义。
微震监测数据统计情况:
根据微震事件发育情况,提出回采过程中冒落带发育高度统计的两个指标:①累计占比变化率小于3.0%;②累计占比大于80%。微震监测选取工作面垮落带的最大发育高度为16~17m。
提出回采过程中导水裂隙带发育高度两个指标:①占比变化率小于0.05%;②累计占比大于98%。微震监测选取工作面1煤顶板43~51 m为冒落带的最大发育高度。
经验公式预计计算情况:
根据《建筑物、水体、铁路及主要井巷煤柱留设与压煤开采规程》中提供的冒落带和裂缝带高度的计算公式,计算3煤层两带的发育高度。参照该矿相关钻孔资料,1煤层覆岩60m范围内主要有中砂岩、砂质泥岩、粉细砂岩等,属于中硬岩层。
按中硬岩层冒落带的发育高度经验公式(1)预计结果为:
(1)按中硬岩层导水裂隙带的发育高度经验公式(2)预计结果为:
(2)综上,微震监测工作面冒落带高度约为16~17 m,采空区裂隙带发育高度范围为47~51m。与实测数据及经验公式计算数据吻合度较高。
(2)底板破坏深度分析
工作面主采煤层是1煤,底板下伏含水层主要有太原组灰岩含水层和奥陶系灰岩含水层。开展底板事件发育深度研究对底板破坏深度分析,以及底板隐伏导水构造的探查有重要意义。
微震监测选取工作面1煤底板20~21m为底板破坏最大发育深度。
不同时期底板事件发育如下:①初采期,回采进度慢,并且未连续回采,底板扰动深度较浅,为1煤底29.42m。②中部断层集中带影响区,C3Ⅰ组层段微震事件零星发育较多,受断层影响,扰动深度最大,扰动深度为1煤底34.27m。③末采期,工作面正常回采,底板事件发育深度相比较浅,最深为1煤底25.42m。
综上,分析微震监测底板事件破坏深度为20~21m;扰动深度为25.42~34.27m,位于太原组C3Ⅰ组灰岩含水层1灰和2灰。
相比较微震监测,从经验公式分析底板破坏深度。
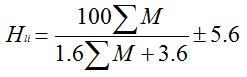
煤层底板采动破坏深度的研究对底板水害防治有重要意义,是煤矿水害致因机理研究极为重要的部分。进入深部下组煤开采后,底板水害较浅部日益严重,底板破坏深度的分析研究显得尤为重要,直接关系到底板隔水层的厚度及其阻水能力。“下三带”理论经验公式基于弹性力学,第一次给出了计算公式,建立在基本假设基础上,如连续均质、各项同性等。底板破坏带根据李白英等推导的经验估算公式,底板破坏深度 的计算公式为:
根据工作面的相关数据,取采深4.5 m,煤层倾角平均6°,倾向长227.5 m,计算底板破坏深度为21.22m。
工作面通过注水法现场实测底板破坏深度为21m。微震监测与实测和经验公式吻合度较高,虽部分数据存在一定偏差,但是总体结果是在可接受范围内。
3、初次来压微震响应
开切眼后,随着回采工作面的不断推进,老顶悬露面积增大,煤岩体内部应力集中,老顶发生初次断裂,工作面初次来压。微震监测响应:近煤层事件频次突增,大能量事件占比增加。2023年12月9日工作面开始监测,12月13日起,微震事件能量释放和频次突增,17日能量释放达到峰值。结合微震监测和回采进尺,分析为工作面初次来压。初次来压期间,底板事件发育深度为21m,为底板事件发育的相对大值,矿压显现,同时太原组灰岩事件层位事件均出现一定增长,底板应力扰动深度增加。
四、地质异常微震响应
1、回采过程揭露断层微震响应
影响工作面回采的主要地质异常为断层构造。回风顺槽掘进过程中,在退尺100-400m揭露的断层有6条,F14121-3断层、F14121-C01断层、F14121-C02断层、DZ5断层、FS994断层、F14121-2断层。由于断层的存在,初始应力场明显地产生挠动,在断层破坏带内应力表现为低应力区,其旁侧存在附加高应力集中区。回采揭露(或隐伏)断层在回采过程中将直接影响煤层顶、底板岩层的变形破坏规律和矿压分布,对煤层顶、底板的稳定性产生不利的影响。以下从微震监测角度分析回采过程中6条断层。
2023年1月6日,回采工作面距断层140m时微震事件在断层走向出现零星发育。5月5日,回采工作面揭露断层过程中,微震事件在断层附近聚集。事件在断层附近密集发育,且存在中、大能量事件,能量释放较大,分析受初采矿压显现异常,距离切眼较近、岩体较为破碎。未监测到C3Ⅰ组微震事件,断层未发现明显活化迹象。

图6 断层破碎带微震事件平面分布图(2023.1.6)

图7 断层破碎带微震事件平面分布图(2023.5.5)
(1)工作面微震监测工程项目监测周期为2023年12月9日至2023年11月30日,共计358天。微震事件共计12485个,日均约35个,向矿方提供日报358份、周报51份、月报12份。
(2)微震事件分布主要受采动矿压、综合物探异常区、断层构造影响。监测过程中未发现构造活化,未监测到隐伏导水构造,未发现裂隙薄弱带,未发现深部地下水活动异常。工作面安全回采,未发生出水。
(3)微震监测工作面顶板冒落带高度为16~17m,导水裂隙带高度为47~51m,底板破坏深度为20~21 m,事件最深发育在太原组上段灰岩含水层2灰。



下一篇