随着煤炭工业的快速发展,煤炭开采不断向大采深和高安全性发展,当前,我国矿井正向着智能化、无人化开采阶段迈进,需要在不间断掘进作业的条件下。实时完成巷道前方和侧帮地质异常体的探测。对地震类探测方法而言,这就要求不能再使用炸药作为震源,而是将掘进机在掘进过程中切制岩石产生的震动作为震源,利用连续的震动波遭遇地质异常体时产生的回波实现巷道前方和侧帮探测,在正常掘进的同时随掘随探。这对井下物探工作方法和技术提出了越来越高的要求,要求不仅在煤矿开采前以及开采中能够准确无误的发现并解决巷道前方各种地质异常体,也要在整个煤矿生产过程中实现对前方地质异常体的动态监测,充分为煤矿的安全生产保驾护航。为此,必须在常规方法的基础上大力发展先进的物探方法与技术,以适应新煤炭工业的发展要求.目前国内外发展较成熟的地震反射法超前探测技术主要有 TSP 系统、MSP 系统以及陆地声纳法,随掘地震超前探测方法是近年发展起来的一种新型矿井巷道地震超前探测方法,该技术以掘进机截割头切割岩石产生的震动作为震源进行巷道超前探测,从而实现了既能保障矿井的正常生产效率,又能完成巷道超前探测任务。
与传统炸药震源相比。以掘进机震动为随掘震源的地震探测需要在巷道掘进的过程中长时间连续采集,采集到的随掘地震信号具有数据量巨大、震源能量低、干扰强、信噪比低的特点,因此采用随掘地震信号对巷道掘进面前方断层等地质异常体成像具有较高的技术难度。
笔者结合实际开展的煤矿巷道随掘超前探测工程,分析、评价、筛选最适合掘进机随掘地震超前探测的地震记录干涉重构方法。
1 地震干涉方法基本原理
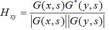
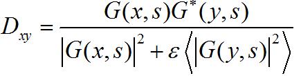
地震干涉法(Seismic Interferometry,SI)基于两个检波器,使用地震干涉的方法处理两道破岩震源地震数据得到经验格林函数,主要包括互相关、反褶积以及互相干,其中互相关算法简单且稳定性好,但不适用于子波频带较窄的震源;反褶积能够消除震源子波的影响,但稳定性较差,需要引入正则化项;互相干对于不稳定且强的噪声数据更加适合。
由于格林函数可以看作在一个检波器激发一个脉冲波,在另一个检波器处接受到的信号,所以有多道数据时可以选择一道数据作为虚拟源,所有地震道与该虚拟源道进行地震干涉计算,将经验格林函数按照空间分布排列,即可构成一个共“炮”点道集,称为伪道集。对伪道集的处理可以参考主动源炮集。
(1) 互相关干涉
互相关是目前噪声信号处理中最常用的方法。由于地震记录是时间域信号,直接在时间域对地震信号进行干涉处理无疑是最简单的。在时间域使用互相关对信号进行处理主要利用的是参考信号与接收信号之间的相关特性,互相关函数是描述两个信号之间相似性的一个度量值,进行互相关主要是计算两个信号之间的互相关函数。对于信号x(t)与y(t),它们的互相关函数定义为

图1展示了两个信号互相关函数的计算过程,给出了τ=0、T/2、T、3T/2、2T时y(t+τ)的波形,并计算得到了被积函数x(t)y(t+τ)曲线下的面积,即该τ值时的Rxy(τ)。其中,只有在0<τ<2T区间内,x(t)与y(t+τ)才有重合,使Rxy(τ)≠0。当τ=Τ时,Rxy(τ)有最大值,这时两个信号完全一致。基于此,通过计算互相关函数,可以根据参考信号的特征,从接收信号中将有效信息提取出来。
图1 互相关函数的图解说明
(2)反褶积干涉
反褶积一般在频率域实现,在进行反褶积处理过程中需先将时间域地震信号转化到频率域。反褶积的频率域表达式为:
(1)
(2)
是信号y(t)的功率谱的均值,调节水位ε的大小起正则化的作用。当ε比较小时,反褶积会出现不稳定的情况;当ε较大时,反褶积结果会与互相关接近。另外,正则化处理过程中调节水位ε的选取对于处理结果的精度影响较大,但其选取的随机性较强。(3)互相干干涉
互相干同样一般在频率域实现,互相干的频率域表达式为:
(3)
(4)由于煤矿井下复杂的地质与施工环境条件,不同时期、不同矿井巷道采集的随掘地震信号会存在质量上的差异。本小节以两组不同巷道条件下的随掘地震实测信号为例,分析地震干涉方法在处理随掘地震信号时的效果。由于随掘地震信号特殊的信号特征,常规地震勘探数据质量评价方法无法适用,因此根据信号的平均振幅能量、规则性将信号分为一般质量信号与高质量信号。
(1)一般质量信号
现场数据采集接收装置为100Hz检波器,检波器布置在巷道侧帮煤层中间部位,检波器采用直接耦合法与煤层耦合,为单分量(Y分量)接收。共布设13道检波器,道间距4m,第一道检波器靠近迎头;采样频率4kHz。

图2 随掘地震一般质量信号

(a)互相关 (b)反褶积 (c)互相干
图3 一般质量信号地震干涉技术对比
对于一般质量信号,常用地震干涉方法没有取得好的效果,因此,继续选择高质量信号进行处理,判断是否是信号质量的问题影响。采用图4所示信号作为高质量信号进行处理,得到结果如图5所示。

图4 随掘地震高质量信号

(a)互相关 (b)反褶积 (c)互相干
图5 高质量信号地震干涉技术对比
如图5所示,当随掘地震信号质量提高时,地震干涉处理效果得到了明显的增加,三种方法都将部分有效信号提取了出来。其中,互相关结果波组信息最丰富,但由于随掘震源不同时延下连续激发,引起长延续峰值脉冲干扰的问题导致直达波上下还存在着特征一致、能量较强的干扰波组,而且各道地震记录之间形态上相似性较强,所以,直达波下方存在的振幅能量较大的波峰无法代表反射波的响应。另外,反褶积与互相干结果相似,随掘地震信号特有的长延续峰值脉冲干扰得到了不错的压制,但其直达波上下(0ms时刻上下)依然存在着特征一致的波组干扰信息,直达波下方存在的振幅能量较大的波峰也无法代表反射波的响应;其次,反褶积与互相干对原始地震信号改变较大,除直达波外的其他波组信息恢复的很少,而不同于随采地震等技术仅对于处理结果中的直达波信息要求较高,随掘地震技术还需要利用其他波组信息。图5 高质量信号地震干涉技术对比
3 结论
通过对实测数据进行去噪、互相关、互相干和反褶积处理,互相关干涉法得到了较为明显的直达波和反射波信号,进一步表明互相关干涉法在随掘地震数据处理中处理噪声和有效信号分离具有良好的效果,为随掘地震资料的后续处理和解释奠定了基础。
参考文献
1.张平松,刘盛东,李培根.井巷煤岩体内构造特征反射波探测技术与应用[J].矿业安全与环保,2006.
2.程久龙.李飞.彭苏萍.等.矿井巷道地球物理方法超前探测研究进展与展望[J].煤炭学报,2014.
3.张平松.李圣林,邱实,等.巷道快速智能掘进超前探测技术与发展[J].煤炭学报,2021.
4.程久龙.谢晨,孙晓云,等.随掘地震超前探测理论与方法初探[A].中国地球科学联合学术年会[C].北京:2015.
5.程久龙,高峰孙晓云,等.随掘地震去噪方法研究[A].中国地球科学联合学术年会[C].北京:2014.
6.李亚豪,程久龙,姜旭,等.基于互相关的随掘地震超前探测有效信号提取方法研究J.中国矿业,2020.
7.王梦倩,岳建华,刘盛东.反射波超前成像预报系统及其应用[J].地球物理学进展,2014.
8.张平松,刘盛东,吴健生.坑道掘进空间反射波超前探测技术[J].煤炭学报,2010.
9.刘盛东,章 俊,李纯阳,等.矿井多波多分量地震方法与试验J].煤炭学报,2019.
10.姬广忠.反射槽波绕射偏移成像及应用[J].煤田地质与勘探2017.



下一篇