技术中心-李祥
摘要:坐标系统是测量工作中定位的基础,坐标系统有很多形式和基准,不同历史时期所建立和使用的坐标系是不同的。随着科学技术的进步,测量方法和观测技术不断改进,采用的参考椭球及定位方式也逐步完善和精化。为更加精确的确定点位信息并综合利用各种信息,常常用到坐标转换。目前我国用于数字测图、工程测量与地理信息系统、工程规划、设计与施工,以及其他用途的大地控制点在不同地区存在着不同的坐标系,诸如北京54坐标系、西安80坐标系、国家2000大地坐标系或者是地方独立坐标系。如何将现有的测量成果在北京54坐标系、西安80坐标系和地方独立坐标系之间相互转换,以及最终转换到2000国家大地坐标系下,实现地理信息的共享,避免资源浪费,亟待解决。本文通过研究不同坐标系统之间的转换方法和模型,分析其中的影响因素,从而实现各类坐标系统间的高精度转换,保证测绘成果能够精确地转入目标坐标系下使用。
关键词:大地测量;坐标转换;坐标系变换;基准变换
1.前言
在大地测量学中,测量坐标系统转换方法的研究与实现涉及多个方面,包括不同坐标系统之间的转换原理、转换模型的选择以及实际应用中的精度控制等。坐标系统转换本质上是将一个空间坐标系中的点转换到另一个空间坐标系中。这种转换通常需要通过计算两个坐标系之间的转换参数来实现。常见的转换方法包括七参数转换法(Bursa-Wolf模型)、Molodensky-Badekas模型、Helmert转换等。
在实际应用中,选择合适的转换模型取决于测区内重合点的数量和分布情况。例如,当测区面积较大时,通常采用七参数转换法,因为这种方法能够提供更高的转换精度。而在测区面积较小的情况下,四参数转换法可能就足够了。此外,还有其他一些转换模型如三参数转换、六参数转换和多项式转换等,可以根据具体需求进行选择。
2.坐标转换的基本概念
坐标转换通常包含两层含义,即坐标系变换和基准变换。其中,坐标系变换就是在同一地球椭球下,空间点的不同坐标表示形式进行变换,其属于无损变换,包括大地坐标系与空间直角坐标系的相互转换、空间直角坐标系与站心坐标系的转换以及大地坐标系与高斯平面坐标系的转换。基准变换是指空间点在不同椭球的坐标转换,即两种坐标系由于采用的椭球参数、定位、定向或者由于尺度设置不同等原因,在两种基准之间进行的转换,与坐标系变换有本质区别。在转换后有一定的精度损失,例如1954年北京坐标系和WGS84坐标系之间的转换。
3.坐标转换的基本方法
坐标转换的基本方法分为大地坐标与空间直角坐标的转换、大地坐标与高斯平面直角坐标的转换,以及不同大地坐标系之间的转换。
(1)大地坐标与高斯平面直角坐标的转换是大地坐标(B,L)向高斯平面直角坐标(X,Y)的转换,称为高斯正算。由高斯平面直角坐标(X,Y)向大地坐标(B,L)的转换,称为高斯反算。高斯正反算只可在同一参考椭球下进行。
(2)对于不同大地坐标系之间的转换则需要注意:在不同的坐标系统之间,由于椭球参数不同,两个椭球之间没有一种统一的方法实现坐标转换。但是,在两个椭球所指的同一区域内,由于椭球面弯曲度较小,该区域同名点在不同的椭球系上存在一定的曲面数学关系,因此可以通过区域转换模型进行坐标转换。一般常用的转换方法是四参数转换法和七参数转换法。
(3)全国及省级范围的坐标转换选择二维七参数转换模型;省级以下的坐标转换可选择三维四参数模型或平面四参数模型。对于相对独立的平面坐标系统与国家2000大地坐标系的转换可采用平面四参数模型或多项式回归模型。但目前最通用的方法是布尔莎七参数转换法,也称综合转换,所谓综合法即就是在相似变换(布尔莎七参数转换)的基础上,再对空间直角坐标残差进行多项式拟合,系统误差通过多项式系数得到减小,使统一后的坐标系框架点坐标具有较好的一致性,从而提高坐标转换精度。
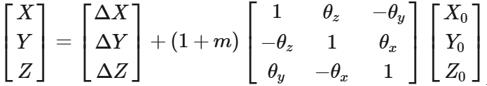
布尔莎七参数转换法涉及到的七个参数为:X平移,Y平移,Z平移,X旋转,Y旋转,Z旋转,尺度变化m。此七个参数可以通过在需要转化的区域里选取3个以上的转换控制点对而获取。计算公式如下:

式中,∆X、∆Y、∆Z为三个平移参数;θx、θy、θz为3个旋转参数,m为尺度参数。
如果区域范围不大,最远点间的距离不大于30km,可以用三参数(莫洛登斯基模型),即X平移,Y平移,Z平移,而此时将X旋转,Y旋转,Z旋转,尺度变化m视为0。所以三参数只是七参数的一种特例,三参数只需通过1个控制点对就能获取。
4.坐标转换的常用模型
4.1 三维七参数转换模型
为三维空间直角坐标转换模型,用于不同地球椭球基准下的大地坐标系统间点位坐标转换,涉及三个平移参数,三个旋转参数和一个尺度因子,不存在模型误差和投影变形误差,可用于任何区域的高精度坐标转换。目前适用于全国及省级椭球面3°及以上不同地球椭球基准下的大地坐标系统间控制点坐标转换。
4.2 二维七参数转换模型
为椭球面上的二维转换模型,用于不同地球椭球基准下的椭球面上的点位坐标转换,涉及三个平移参数,三个旋转参数和一个尺度因子。不存在投影变形误差,基本不受范围限制,且转换精度较高,但需顾及两种大地坐标系所对应的两个地球椭球长半轴和扁率差,计算复杂。其同样适用于全国及省级椭球面3°及以上不同地球椭球基准下的大地坐标系统间控制点坐标转换。
4.3 三维四参数转换模型
用于局部坐标系间的坐标转换,涉及Tx、Ty和Tz3个坐标平移量和1个控制网水平定向旋转量。是以区域中心P0点法线为旋转轴的控制网水平定向旋转量。其适用于省级以下或局部2°以内局部范围控制点坐标转换。
4.4 二维四参数转换模型
为高斯平面坐标转换模型,涉及两个平移参数,一个旋转参数和一个尺度因子。对于三维坐标,需将坐标通过高斯投影变换得到平面坐标,再计算转换参数。由于受投影变形误差的影响,离中央子午线越远其转换精度越差,一般用于较小区域的转换。目前适用于省级以下控制点平面坐标转换、相对独立的平面坐标系统与2000国家大地坐标系的联系。
4.5 多项式拟合模型
包含三维多项式转换模型和二维多项式转换模型,是一种多项式逼近(拟合)的转换模型。当坐标点分布均匀、数量足够,且目标坐标系的精度比源坐标系的精度高时,可以得到较高的转换精度。但当坐标点数量较少且分布不均匀时,转换精度降低。可用于全国/全省或相对独立的平面坐标系统转换。
表1 坐标转换模型选取及适用范围


5.坐标转换的实现
5.1数据格式和转换软件坐标转换过程中,涉及到不同坐标系间的参考椭球基准及参数,直接利用公式进行计算较为复杂。本文对目前存在的不同格式数据(表2),利用常见的几种地理信息软件的坐标转换功能可以实现转换目的。
表2 常见的地理信息数据

5.2坐标转换实例分析
本次选取某矿西安80坐标系和国家2000坐标系下的5个控制点坐标(表3和表4),利用coord4.1坐标工具对两种坐标系下的坐标进行七参数转换(表5)。
表3西安80控制点坐标

表4国家2000控制点坐标

表5七参数坐标转换结果

通过coord进行坐标系统之间的转换,平面参数与高程数据均参与求解,转换结果与真值对比,X轴、Y轴和Z轴偏差非常小,转换结果精度较高。
在实际工作中,利用现有的地理信息软件中的坐标转换功能可以快速准确进行不同坐标系统间的转换,节省利用公式进行计算和转换的时间。
参考文献
[1].陈俊勇,中国现代大地基准——中国大地坐标系统2000(CGCS2000)及其框架.测绘学报,2008(03):第269-271页.
[2].陈俊勇,大地坐标框架理论和实践的进展.大地测量与地球动力学,2007(01):第1-6页.
[3]李贤轲,四参数与七参数在坐标系统转换中的比较分析.石家庄铁道大学学报(自然科学版),2018.31(s2):第282-287页.
[4]孙小荣,李明峰与刘支亮,平面四参数坐标转换模型的改进与应用研究.大地测量与地球动力学,2015.35(01):第132-135+144页.
[5].魏子卿,我国大地坐标系的换代问题.武汉大学学报(信息科学版),2003(02):第138-143+148页.
[6].陈俊勇等,我国大陆高精度、高分辨率大地水准面的研究和实施.测绘学报,2001(02):第95-100页.
[7].程鹏飞等,2000国家大地坐标系椭球参数与GRS80和WGS84的比较.测绘学报,2009.38(03):第189-194页.
[8].黎舒与胡圣武,80西安坐标系到2000国家坐标系转换的研究.测绘科学,2009.34(S2):第50-52+155页.
[9].乔连军与韩雪培,1954北京坐标与1980西安坐标转换方法研究.测绘与空间地理信息,2006(01):第36-39+43页.
[10].顾秀梅等,ArcGIS空间数据投影坐标转换方法研究.测绘科学,2012.37(0).



下一篇