关键词:煤柱尺寸;煤柱稳定性
1.绪论
1.1 立项背景
目前XX煤矿主要巷道煤柱留设,主要依据《三下规范》留设煤柱经验公式及结合工作面退尺位置对巷道破坏程度调查确定。为了确保XXXX工作面受护系统巷道安全使用,同时为开展矿井留设大巷煤柱参数规律研究,故对该面受护巷道建立数字化测力锚杆实时监测系统,进行受护巷道围岩变形监测。通过受护巷道围岩变形监测研究,为正确指导矿井后续开采B组煤期间的主要巷道煤柱留设、合理安全开采提供基础资料依据和技术支撑,实现资源回收最大化。该项目对提高本矿巷道煤柱留设的科学性、合理性和可靠性,具有十分重要的现实意义和工程应用价值。
1.2 主要研究内容及指标
研究内容:结合工作面回采进度,在XX煤矿XXXX工作面周边巷道顶底板巷道内布设安装数字化测力锚杆,通过设定的时间间隔自动监测锚杆杆体不同位置变形与受力数据,采集册立锚杆传感器监测巷道支护工况与巷道矿压显现数据,通过数据上传云计算数据分析平台,实现对井巷支护工况进行综合分析,生成各类曲线及报表,分析巷道失稳变形破坏的规律。
2.工作面概述
为了进一步了解9煤覆岩的抗压强度,分别在XXXX工作面切眼、运输顺槽及回风顺槽中部附近(顶板30m,底板20m)钻取岩样,在实验室加工成标准岩样进行强度测定。
2.1 试验设备与试件加工
1)实验设备
第一步利用岩石取芯机对岩体进行取芯,取芯机的钻头为Φ50mm,符合制作标准岩样试件的要求;第二步利用岩石切片机对岩样的长度进行加工,统一加工成长度为100mm的试件;第三步利用双端面岩石磨平机对岩样进行打磨,使其表面保持平整,避免不平整导致力的传递不均匀;第四步采用RMT岩石试验系统对标准试件的抗压强度进行测定。
2)试件加工
利用实验室设备加工,制备《煤和岩石物理力学性质测定方法》中所规定的标准试块,取五块岩样进行加工,试件尺寸为50mm(直径)×100mm(高)的圆柱体。本实验试样的数量和有效尺寸都能基本达到规范要求,但个别试件较短,标准试块大小如图2-1所示。

图 2-1标准岩样试件图
试件破坏多是以单侧破裂,试件破坏形态如图2-2所示。





图2-2 试件破坏形态试验图
3. 煤柱稳定性理论及计算方法
3.1 煤柱稳定性的影响因素
煤柱的稳定性:一定时间范围内,上覆岩层及工作面采动的作用下,煤柱边缘形成破碎区、塑性区,有足够的承载面积(弹性核区),能够持续承担荷载的特征。通过对煤柱的稳定性展开研究,可以分析影响煤柱稳定性的主要因素,分析其影响机制,指导煤柱留设合理宽度,保证煤柱的稳定性。此外,保证煤柱稳定的基础上,尽可能提高煤炭资源的回收率,提高经济效益。煤柱载荷、煤柱强度是影响煤柱稳定的主要因素,其他因素可以通过煤柱荷载及煤柱强度影响煤柱的稳定性。根据现场实测,煤柱稳定性影响因素主要有四个方面,分别为地质条件、采煤方法、时空演化及煤岩体力学性质,这四个方面为常见的煤柱稳定性影响因素。
(1)地质条件
地质条件主要指岩层的性质、地质构造及水文地质条件三个方面。岩层的性质包括覆岩的岩性、岩层的重度、岩层的厚度、岩层的倾角、煤层的埋深等;地质构造包括岩层的节理、裂隙、岩层的完整性等;水文地质条件包括地下水的埋藏、分布及巷道的突涌水量等。地质条件中对煤柱的稳定性表现在岩层的赋存特征对煤柱的影响。比如,煤层的埋藏深度越深,煤柱受到覆岩的压力也会越大,同等条件下造成煤柱失稳的概率越大;煤岩体存在较多的节理、裂隙都会削弱煤柱承载能力,煤柱的稳定性会降低;煤层的倾角越大,煤柱从顶底板交界面滑移的概率也越大,煤柱的稳定性越低;地下水的作用下,煤柱的强度会迅速降低,煤柱的稳定性也越低。
(2)采煤方法
采煤方法主要有煤柱留设的宽高比、采煤技术、顶板管理方式等。根据煤岩体的单轴压缩实验可得,只改变宽高比的情况下,煤柱的宽高比越大煤柱越稳定;不同的顶板管理方式对煤柱稳定性的影响,采用充填开采的顶板管理方式煤柱的稳定性较好,釆用全跨式顶板管理方式煤柱的稳定性会相对较差;采煤技术包括长壁、综采、房柱、台阶等开采方式、工作面及回采推进速度等,采煤技术会通过影响围岩应力的分布,间接影响到煤柱稳定性。
(3)时间因素
煤柱会随时间的推移发生变形,因为煤柱存在流变现象。工作面回采动及上覆岩层的压力会造成煤柱在压力作用下,随着煤柱力学结构模型时间的推移,煤柱持续流变进而强度降低,煤柱的稳定性也会逐渐降低。
(4)煤岩体力学性质
煤岩体的力学性质主要为煤岩体的弹性模量、泊松比,煤柱与顶底板交界面的内摩擦角、粘聚力等方面。煤的弹性模量、煤柱与顶底板界面内摩擦角、粘聚力等参数的大小会影响煤柱塑性区宽度、上覆岩层的荷载。煤岩体的力学性质会影响煤柱的强度,进而对煤柱的稳定性造成影响。
3.2
煤柱宽度是影响煤柱稳定性的重要因素,而煤柱塑性区的变化对于确定煤柱合理宽度和维持巷道围岩的稳定性影响巨大。因此,在高应力沿空掘巷切顶卸压围岩结构体系创建过程中,不仅要最大程度地减小煤柱宽度,而且要尽可能的增强煤柱自身的承载能力,提高巷道围岩的稳定性。
与工作面实体煤帮结构不同,煤柱作为沿空巷道与采空区之间的连接体,需要建立承载结构力学模型对其两侧进行分析。如图3-3所示,在顶底板的压力作用下,煤柱分别向巷道侧及采空区侧鼓出变形。在巷道内部,煤柱侧受到水平支护阻力ps,而在采空区侧受到切落矸石岩体的作用阻力qs;煤层与顶底板之间的剪切应力τxy则用来平衡巷道侧支护阻力与采空区侧切落矸石作用阻力的受力差异。

图3-1 煤柱结构受力图
(1)采空区侧煤柱力学模型

图3-2 煤柱极限平衡区内单元体受力分析
(3-1)
(3-2)
(3-3)
(3-4)
(3-5)
(3-6)
(3-7)在极限平衡区内,x方向的合力可用式(3-8)表示为:
(3-8)
(3-9)
(3-10)
(3-11)
(3-12)
(3-13)
(3-14)巷道侧煤柱力学模型与采空区侧煤柱力学模型求解步骤相似,利用采空区侧煤柱力学模型的计算结果,ps为巷道侧煤柱帮的支护阻力,则可以获得巷道侧煤柱极限平衡区内的垂直应力和极限塑性区宽度表达式:
(3-15)煤柱在顶底板压力作用下,两边缘侧的煤体阻止其核心部分继续向煤柱外侧变形鼓出。针对这一变形约束现象,吴立新教授通过研究后发现煤体单轴抗压强度对煤柱的极限承载力有重要影响,并提出了煤柱极限承载力计算公式:
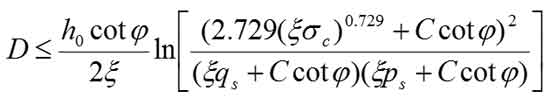
(3-16)根据式(3-14)和(3-15)分别确定煤柱两侧的极限塑性区宽度,则煤柱的设计宽度应不低于公式(3-17)确定的宽度,才能保证煤柱整体宽度的稳定性。
(3-17)当

时,煤柱处于失稳破坏状态;
当

时,煤柱处于极限稳定状态;
当
时,煤柱处于稳定状态。
结合矿井工程地质条件,相关参数设置如下:煤层界面内摩擦角φ=24°、粘聚力C=1.8MPa、泊松比μ=0.32,煤体流变系数ξ=0.6,靠近巷道侧煤柱支护阻力ps=0.1MPa,靠近采空区侧矸石作用阻力qs=0.1MPa。将相关参数带入式(3-17),可获得煤柱塑性区宽度约为7.5m。
4.总结
针对XX煤矿XXXX工作面特有地质条件,开展了力学理论分析、数值模拟系统应用等工作。通过前期踏勘设计、监测系统布置、数据采集、数据分析等过程,形成应用成果如下:
(1)为了进一步了解9煤覆岩的抗压强度,分别在XXXX工作面切眼、运输顺槽及回风顺槽中部附近(顶板30m,底板20m)钻取岩样,在实验室加工成标准岩样进行强度测定。单轴压缩试验结果表明,XX煤矿9煤覆岩岩石抗压强度在66.025~89.809MPa,平均抗压强度为76.847MPa,由于岩石内部存在一定的水平节理裂隙和泥岩斑块,对岩石抗压强度有一定影响。
(2)结合矿井工程地质条件以及试验力学参数,利用煤柱一侧采空应力分布规律,煤柱(体)的承载能力,随着远离煤体(柱)边缘而明显增长。在距煤体(柱)边缘一定宽度内,存在着煤柱(体)的承载能力与支承压力处于极限平衡状态,运用岩体的极限平衡理论,塑性区的宽度,即支承压力峰值与煤体(柱)边缘之间的距离,计算可得到大巷停采煤柱不低130m。煤柱在顶底板压力作用下,两边缘侧的煤体阻止其核心部分继续向煤柱外侧变形鼓出。针对这一变形约束现象,发现煤体单轴抗压强度对煤柱的极限承载力有重要影响,并提出了煤柱极限承载力计算公式通过可获得煤柱塑性区宽度约为7.5m。
参考文献:
[1]尹大伟,顶板—煤柱结构体稳定性能实验研究,山东科技大学,2018年.
[2]杨昌斌,FLAC3D,在隧道初期支护与原岩条件的"耦合"问题的应用[J].煤田地质与勘探,2004年.
[3]何满潮,软岩巷道工程概论[M],徐州,中国矿业大学出版社.



下一篇