关键词:矿井瞬变电磁;视电阻率;算法;可靠性
煤矿生产过程中,常面临各种突水隐患,直接威胁到煤矿生产安全。近年来,围绕采煤工作面顶、底板及其生产准备巷道等周围岩体的赋水性探查,国内外发展了多种矿井物探技术[1-3]。在诸多方法当中,由于瞬变电磁法在矿井巷道内探测设备轻便、数据采集效率高、具有一定的定向探测能力及对含水体响应敏感等优势,已逐渐发展成为矿井水害探查的主要方法之一。为适应煤炭高效高产的需求,确保煤矿生产安全,国家煤炭相关管理部门要求水文地质条件相对复杂的煤矿企业配备相关的探水设备,矿井瞬变电磁作为主要探水方法之一,其仪器设备在近10年期间,基本遍布于我国各大矿区。由于早期矿井瞬变电磁技术的相关应用理论不足,在视电阻率计算方面主要还是沿用传统地面视电阻率算法,尽管近3年来,有关矿井瞬变电磁视电阻率计算方法研究不断取得新的进展[4-7],但对于矿方应用来说,这些新的技术还未得到有效的更新。那么,传统地面瞬变电磁视电阻率的计算方法应用于矿井探测,其所得视电阻率值是否可靠,对岩体导电性特征的反映是否有效等都是当前矿方技术人员应用需要明确的问题。鉴于此,论文首先推导均匀介质中矿井瞬变电磁场的表达式,然后按照瞬变场与岩体视电阻率之间的对应关系,分析传统视电阻率算法在矿井探测中应用的可靠性,为现场探测应用奠定有力基础。
1 传统地面视电阻率算法
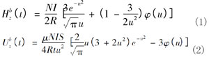
早期矿井瞬变电磁设备配备的数据解析软件主要还是沿用传统地面的视电阻率算法,包括全期和晚期算法。在均匀半空间情况下,水平圆形回线中心点的瞬变响应(磁场的垂直分量与感应电动势)为[8]


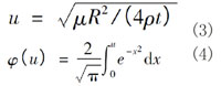
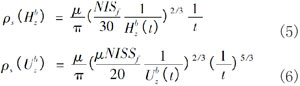
当ρt→∞时,可以获得传统的地面晚期视电阻率,其表达式分别为

2 矿井视电阻率算法
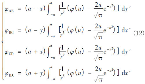
矿井瞬变电磁法应用于近似全空间条件,在探测时采用的是多匝的方形回线,其边长一般小于等于2m,这与满足半空间条件的地面瞬变电磁方法不同。全空间条件下,方形回线瞬变电磁场的响应表达式可以通过水平电偶极子产生的瞬变电磁场沿回线的路径进行积分求得


(a) 方形回线 (b) 圆形回线
图1 电偶极子沿回线积分示意图
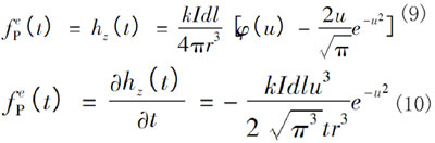
如图1(a)所示,回线平面空间中任意点P(x,y)的瞬变电磁场可以分解成 (8)

式中:fep(t)为水平电偶极子在P点的瞬变电磁场,在全空间均匀介质中,当fep(t)为分别为磁场和垂直感应电动势时,有[12]

从式(9)、(10)可见,瞬变电磁场的响应与电偶极子至观测点p的距离r是非线性关系,把式(9)和(10)代入式(8)将无法直接积分并获得其解析表达式。考虑到实际巷道超前探测应用时,一般采用同心的回线装置,观测数据为回线的中心处感应电动势,因此求出回线中心点的瞬变磁场及其随时间的变化率是关键所在。
当P点置于发射回线的中心处,结合图1(a),可得N匝方形回线的中心瞬变磁场为







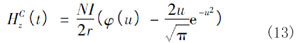
令N=10匝、SR=100㎡、a=1m、I=2A和ρ=10Ω•m,将上述参数代入式(1)、(2)、(3)和(4),可分别获得半空间和全空间条件下方形回线的瞬变磁场及垂直感应电动势。

1.全空间磁场; 2.半空间磁场
(a) 垂直磁场

1.全空间感应电动势;2.半空间感应电动势
(b) 垂直感应电动势
图3 全空间瞬变场与半空间瞬变场的响应曲线

1.全空间磁场比半空间磁场
2.全空间感应电动势比半空间感应电动势
图4 全空间与半空间瞬变场的比值
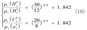
从图4给出的全空间与半空间瞬变场比值曲线可以看出,在1μs以后的时间窗口,全空间瞬变磁场及感应电动势均为半空间瞬变磁场及感应电动势的2.5倍,表明全空间与半空间的差异仅在于响应幅值,对瞬变场的衰减趋势并不影响。因此,可以推断,全空间视电阻率与半空间视电阻率之间也必然存在一个稳定的比值系数。
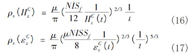
考虑到全期视电阻率与瞬变场之间呈非线性关系,这里通过晚期视电阻率的比较来获得这一比值系数。分别将式(16)与式(5)、式(17)与式(6)进行相比,可以得出

式中:ρms为矿井视电阻率;ρss为传统地面视电阻率。
4 结论与讨论
1)通过对全空间水平电偶极子产生的瞬变电磁场沿方形回线进行路径积分,并基于磁矩等效代换原理,推导了全空间多匝方形回线的瞬变电磁场表达式;数值解与解析解的误差分析表明,两者的最大误差为1.5%,证明了该公式准确。
2)全空间瞬变电磁场与半空间瞬变电磁场的对比分析表明,不论是瞬变磁场还是垂直感应电动势,全空间条件下的响应幅值始终是半空间响应幅值的2.5倍;通过对晚期视电阻率公式的对比,确定全空间视电阻率值为半空间视电阻率值的1.842倍,进一步给出了矿井瞬变电磁视电阻率的修正公式。
3)考虑到现阶段矿井瞬变电磁方法在进行电性解释时,主要分析测试数据体内的相对电性分布特征,而基于传统地面的视电阻率算法求解的视电阻率值并未改变视电阻率相对大小关系,因此,可以认为当前矿方技术人员采用的传统视电阻率计算方法仍然是可靠的。
以上研究仅限于视电阻率解释,对于矿井瞬变电磁的电阻率反演等解释方法的应用是否可靠仍需进一步的深入研究。
参考文献
[1] 刘盛东,吴荣新,张平松,等.三维并行电法勘探技术与矿井水害探查[J].煤炭学报,2009.
[2] 李丹,韩德品,石亚丁,等.采煤工作面顺煤层透视的电法探测方法[J].煤炭学报,2010.
[3] 胡雄武,张平松,严家平,等.矿井瞬变电磁超前探测视电阻率扩散叠加解释方法[J].煤炭学报,2014.
[4] 杨海燕,邓居智,张华,等.矿井瞬变电磁法全空间视电阻率解释方法研究[J].地球物理学报,2010.
[5] 杨海燕,岳建华.地下瞬变电磁法全区视电阻率核函数算法[J].中国矿业大学学报,2013.
[6] 胡雄武,张平松,严家平,等.坑道掘进瞬变电磁超前探水解释方法的改进研究[J].岩土工程学报,2014.
[7] 姜国庆,程久龙,孙晓云,等.全空间瞬变电磁全区视电阻率优化二分搜索算法[J].煤炭学报,2014.
[8] 白登海,时间域瞬变电磁法中心方式全程视电阻率的数值计算[J].地球物理学报,2003.
[9] 王华军,阻尼系数对瞬变电磁观测信号的影响特征[J].地球物理学报,2010.
[10]熊彬,大回线瞬变电磁法全区视电阻率的逆样条插值计算[J].吉林大学学报(地球科学版),2005.
[11]陈清礼,瞬变电磁法全区视电阻率的二分搜索算法[J].石油天然气学报,2009.
[12]米萨克N.纳比吉安.勘查地球物理电磁法[M].赵经祥,王艳君译,北京:地质出版社,1992.