关键词:地震勘探技术;超前探测;隐伏地质构造;地质构造预测预报;应用
1 前言
巷道掘进过程中隐伏地质构造一直是巷道掘进重要因素之一,特别是在一些地质构造复杂、煤层薄、断层多、倾角大的地区,地质构造使得煤层赋存发生明显异常变化,不仅使回采掘进械化装备的优势得不到发挥,煤炭资源得不到充分利用,还为煤矿带来很多难以预知的灾害。如果能够预先探查到巷道前方隐伏构造的发育形态及影响范围,就可以提前选择必要措施等行之有效的技术手段,从而在保证安全高效生产的同时,也保证了提高掘进速度,因此对巷道前方隐伏地质构造发育情况的超前预报工作显得特别重要,为使超前预报工作更加准确,人们已经采用了多种物探方法对煤矿井下隐伏地质构造进行探查,例如直流电法、地震波勘探、三维地震法等,在众多物探方法之中,地震波勘探法具有理论成熟、设备轻便、施工工艺简单、数据采集方便快捷、所需劳动力少、探测距离大、探测效果显著等优势,成为探查隐伏构造效果最明显、适用性最强、使用率最高的物探方法之一,得到广大煤矿企业地测系统技术人员的认可和信赖。
2 地震波勘探技术简介
2.1 地震波勘探原理
不同岩层物理性质的差异,地震波在不同岩层中的传播速度也不同。
2.11 地震波勘探的基本原理
地震波勘探是由震源激发的地震波在向下或向前传播时,遇到不同的波阻抗界面时,在界面处会发生反射,透射(折射)等现象,这些在不同波阻抗界面发生反射、透射(折射)的地震波可被排列于震源附近的检波器所接收,从而形成可用于地震解释的原始数据。
2.12 弹性介质和理论基础
某物体在外力作用下产生形变,当外力去掉之后,物体能迅速恢复到受力前的形态和大小,物体这种特性称为弹性,该介质称之为弹性介质。自然界大部分物质都可以在一定的外力作用下呈现出弹性的性质。
在弹性理论的研究中,根据介质的不同特征可分为各向同性和各向异性两类。所有弹性性质和空间方向无关的称之为各向同性介质;反之则为各向异性介质。在矿井地震波勘探中,人工地震震源是在很短的时间内激发的脉冲式地震波,激发的能量对于探测前方的岩层和接收点处介质所产生的作用力较小,因此可以将它们看作弹性介质,并可以用弹性理论来研究地震波的传播问题。研究表明,大部分岩、煤的机制在地震勘探中都可以看作式各向同性介质,从而可以利用一些基本弹性理论来进行地震波研究。
在矿井地震波勘探中主要是研究人工激发的地震波在岩、煤介质中的传播规律,以探测前方地质构造和岩层的分布等。研究的理论中,通常把岩、煤介质看作各向同性的弹性介质,把地震波看作弹性波——即将不完全符合真实情况的问题简单化。
2.13 波的分类
地震波可分为体波和面波两大类。体波在介质的整个体积内传播,根据共传播特征的不同,又可分为纵波和横波(通常纵波又被称为p波,横波称为s波)。面波则沿介质的自由表面或两种不同介质的分界而传播,根据其不同性质,又可分为瑞利波和勒夫波等。现将各种波的特征分别讨论如下。
(1) 纵波
弹性介质发生体积形变(即拉伸与压缩形变)所产生的波动称为纵波。当纵波在介质中传播时,会形成间隔出现的压缩带和稀疏带,因此,纵波又称压缩波(或P波)。纵波的传播方向和质点的振动方向一致。
(2) 横波
弹性介质发生切变时所产生的波动称为横波,即剪切形变在介质中的传播,又称之为剪切波(或S波),其特点是质点的振动方向与波的传播方向相互垂直。因此对于任意一个传播方向,质点可以有无限多个振动方向,在研究中,通常可把横波看作是由两个方向的振动所组成,一个是质点振动在垂直平面内的横波分量,称为SV波,另一个是质点振动在水平平面内的横波分量,称之为SH波。
(3) 面波
根据弹性力学理论,还有两种仅存在于弹性分界面附近的波动—瑞利波与勒夫波。瑞利波是沿介质与大气层接触的自由表面传播的面波。它的特点是,质点在通过传播方向的垂直面内沿椭圆轨迹作逆时针运动,其椭圆长轴垂直于介质表面,长短轴之比大致为3:2,强度随深度呈指数衰减,但在水平方向衰减很慢。在地震记录中瑞利波具有频率低、速度接近于横波波速且衰减慢等特点,在一般地震勘探中是一种千扰波。但在表层介质的勘查中瑞利波具有特殊的作用。
常用的矿井地震波探测方法:本文使用的仪器为矿井地质探测仪KDZ1114-6A30。该仪器属于便携式多功能智能矿井资质探测仪,在功能设计上,集成了目前在矿井地震勘探中常用的八种勘探方法,可以进行各种类型的浅层地质构造勘探。本文使用的方法为反射共偏移和单点探测。
2.14 反射共偏移探测
(1) 反射共偏移探测原理
反射共偏移探测技术是依据反射波勘探原理,在单边排列分析基础上选定最佳偏移距,采用多次覆盖观测系统进行数据采集。探测时,首先针对测试区域地震地质条件进行现场噪声调查,对排列记录分析对比,确定最佳共偏移接收窗口以及窗口内的检波器间距,并按一定的步距同步前移完成探测任务。只要地质体中存在波阻抗差异,如地质界面,就会产生反射回波,且反射能量受界面特性控制,这是进行地质体分辨的前提。通常在现场实际工作中,常用密集型单道共偏移数据解决实际问题,能满足现场需要。在对地质体连续追踪与调查中发挥着重要的作用。
现场探测时是在最佳窗口内选择一个公共偏移距,采用单道小步长,保持炮点和接收点距离不变,同步移动震源和接收传感器。每激发一次接收一道波形,最后得到一张多道记录,各道具有相同的偏移距。上图为共偏移法现场施工示意图。另一种方法是通过对共炮点记录进行自动排列,也可以获得各种偏移距的共偏移剖面。利用这种共偏移地震剖面,可正确识别反射波同相轴,由于偏移距相同,数据处理时不需作正常时差校正。工程中常用来对反射波同相轴位置及特征进行了解,由于这种方法施工较为简单,特别适用于矿井煤岩巷道或工作面构造及异常地质体的调查工作。


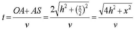
式中x即为偏移距,v为探测介质的地震波波速,t为地震波旅行时间,而h是目标体的界面深度,是需要求解的。因此根据测试所获得的地震波记录,进行反射波相位追踪,确定各个界面的反射波组并求取反射相位时间,即可求解探测目标体的深度,并进行地质解释。对于倾斜界面则根据反射波组特征进行相应的深度校正,获得该界面的实际深度位置。
(2)反射共偏移探测施工方法
现场探测时是在最佳窗口内选择一个公共偏移距,采用单道小步长,保持震源点和接收点距离不变,同步移动震源和接受传感器。每激发一次接收一道波形,最后得到一张多道记录图,各道具有相同的偏移距。
2.15 单点探测
(1) 单点探测原理
一般情况下,在矿井地质中,每层的密度多分布在1.3~1.5t/m3,波速在0.8~1.5km/s,而岩石密度在2.4~3.0t/m3,波速在2.5~3.5km/s,所以,煤、岩界面反射系数一般比较大,多在0.6以上,是一个强反射界面,有利于震波反射法进行超前探测或煤厚探测。该方法采用单个检波器来接收单次锤击所反射回来的波,并对此数据进行解析得到相应的结果,因此称为单点探测。单点探测要求检波器尽量与震源靠近,但不能接近震源。单点探测技术是源于反射地震波勘探中的自激自收方式,即反射波中偏移距为零的垂直反射形式。他是通过接收煤岩界面的地震波垂直反射信号,来计算解析目的层距离和厚度的。单点探测的反射波是震源在界面的垂点反射回来的反射波,所以解析的距离总是小于等于实际距离。探测目的层与探测方向的夹角大于等于60°,可以满足误差要求。
(2) 单点探测施工方法
单点探测的现场布置比较简单,但是由于受震源的影响很难做到自激自收采集,因此只能尽量的减小反射角度。实际操作中只能近似地做极小偏移距单点单道采集,一般要求最浅目的层的反射角在30°以内,以接近垂直为最佳效果。
2.4 资料处理与解释
目前地震单点探测数据的处理与解释方法为直接分析法与单点分析法,其中直接分析法通常用正弦或余弦图示方法来描述沿观测巷道探测区域内频率、速度、振幅的变化规律,频率越大、波速度越快位置,表示岩性越坚硬,反之频率越小、波速度约慢的位置,表示岩性越坚软,通常情况利用此波形频率、速度进行判断岩性软硬,作为找煤、岩层、断层、火成岩、陷落柱依据;振幅越大,反射能量越强,寻找岩性改变界面。
3 应用实例

图1 施工位置示意图

图2 施工方法示意图

图3 底部层南翼机轨合一巷直接分析法结果图

图4 底部层南翼机轨合一巷单点分析法分析结果图
图3、4为底部层南翼机轨合一巷探测数据利用直接分析法、单点分析法所成效果图。我们采用的探测方法为单点探测法,本次共对巷道迎头进行三组数据的探测,分别对巷道迎头左侧、中心位置、迎头右侧利用2个单分量检波器锤击30次所得数据,其道间距1.5m,最小原间距1m。。
在本次反射共偏移探测中采用的物探技术参数如下:
采样电压:0.6V 触发方式:外触发
采样间隔:8μs ×12 采样点数:1024点
开放通道:2道 通道增益:24dB
采样频带:90—1000Hz
本区域岩层波速采用3000m/s,煤层波速采用1500m/s。根据波形分析,从探测起点开始至前方96ms内存在很多异常界面,其中:
异常区域一距探测线7-13m左右推测为放炮松动区或裂隙节理发育;
异常区域二距探测线18-23m推测为煤层或其他异常;
异常区域三距探测线33-35m推测为断层或其他异常;
异常区域四距探测线43-49m推测为断层或其他异常。
异常区域五距探测线60m推测为岩层分界或其他异常。
验证:
后经过巷道掘进过程中验证在巷道探测位置(3#点83m)前方17m见36煤层,煤厚1.8m,与探测结果相符;前方33m位置见粗砂岩与中砂岩分界面;52m见断层,断层落差7m,倾角57°。详见下图:

4 结束语
利用地震波探测可以作为一种较为理想的辅助手段对前方的地质构造异常进行有效的预测预报。通过在该矿的现场探测可以看出在巷道前方地质复杂的条件下通过有效的探测方式多种探测方式,后多次探测验证可以有效的指导煤矿采掘及其他方面的安全生产。应该说,煤矿在日常生产过程中,存在较多影响矿井安全的地质构造及异常问题,完全依靠地质技术人员的经验,防范地质灾害的发生,其工作量和责任都十分重大,利用有效的辅助手段,既可减轻技术人员的工作压力,又可增加地质预测的准确率,取得较好的应用效果。



下一篇