华北办 骆彬
1 工程概况1.1 简介
宿州煤电(集团)某煤矿1021工作面,目前主要受顶板砂岩水及底板灰岩水的影响,同时1021工作面上部为1020工作面采空区的富水性也会对该工作面的回采构成威胁。为调查1021工作面顶板岩层、底板岩层的富水性,由煤矿及山东省煤田地质局第二勘探队共同组织对1021工作面顶/底板100m范围内岩层的富水情况进行探测。
1.2 地质概况
1021工作面位于东一采区的1020工作面下部,1020工作面地面对应为任长营村以南、西南,任小庄以西农田,地表水体不发育,仅有一些人工沟渠。下为1022工作面(待掘),左侧为上山保护煤柱,右侧为DF11断层煤柱。工作面走向长约981m,倾向宽约64150m,煤层倾角10~20°,平均18°,煤层平均厚度3.2m左右。1021工作面水文地质复杂,下距底板太灰平均53m左右,工作面标高为-349~-393m。太灰静止水位为-110m左右,属承压开采工作面。
工作面主要充水水源为10煤层顶板砂岩裂隙含水层和底板灰岩含水层,具体特征如下:
(1)顶板砂岩裂隙含水层:10煤层老顶岩性为细砂岩、中砂岩及少数为厚层粉砂岩,一般岩性较致密,砂岩裂隙大多不发育,富水性和渗透性差,地下水运动慢,补给、排泄条件差,处于封闭半封闭状态,以静储量为主,在不与其它含水层发生水力联系时,水量小且易于疏干。
(2)底板太原组灰岩含水层:本矿太原组地层最大揭露厚度为135.09m(38-4孔),多数钻孔仅揭露12层灰岩,主要由石灰岩、泥岩、砂岩和薄煤层组成,以石灰岩为主。石灰岩一般有12层,多者达15层,其中,三灰和四灰分别厚11.08m和11.69m,其富水性主要取决于岩溶裂隙发育程度,岩溶裂隙一般在浅部较发育,向深部逐渐减弱。根据中央采区和1020工作面底板注浆加固的资料,10煤底板太灰富水。本面10煤层下距太灰顶53m左右,太灰水静止水头高为-110m,机巷最低底板标高-393m,煤层底板最大水压2.83Mpa,属带压开采。
(3)顶板砂岩裂隙水:顶板砂岩裂隙大多不发育,富水性和渗透性差,处于封闭半封闭状态,以静储量为主,富水性弱。采用比拟法预计正常涌水量为20m³/h。
(4)底板太原组灰岩水:本面10煤下距太原组一灰53m左右,根据井下太原组灰岩水位观测资料,灰岩静止水位为-110m标高,煤层底板承压2.83Mpa,属承压开采工作面,该含水层为10煤层回采主要充水水源之一。太原组灰岩涌水量预计:采用承压转无压单侧进水水平完整巷道裘布依公式计算:
太Qmax=LK(2H-M)M/2R=2815m³/d=117m³/h
式中:L巷道长度 1066m; K渗透系数 3.80m/dH 水位降深值 283m;M承压含水层厚度 50m
R影响半径 R=2S√KH=15969m
(5)断层水:根据邻近揭露资料,预计风巷掘进将揭露最大落差3.0左右断层;机巷拨门后将揭露FS29断层,落差4.0左右,受断层影响,煤层起伏较大;切眼下口拐弯点附近有可能揭露DF11∠65~70°H=8m断层组。以上断层从揭露资料看,富水性较弱,但掘进中仍要对DF11断层进行超前钻探,确保安全掘进。基于上述预计,工作面最大涌水量137m³/h,正常涌水量20m³/h。
(6)巷道掘进开门8m将过40-1钻孔,回采时要过40-7钻孔,上述两钻孔均为封孔合格钻孔,正常情况下对工作面的掘进和回采均无影响。
(7)该工作面未发现岩浆岩侵入及陷落柱等特殊的地质构造。

图1-1 综合柱状图
为确保1021工作面的安全开采,工作面开采前必须查明顶、底板岩层的富水性及断层、裂隙含水情况,为工作面防治水工作提供技术依据。为此,界沟煤矿确定采用地球物理勘探手段查明工作面开采范围内顶、底板岩层富水情况,为工作面安全高效开采提供有效的水文地质依据。
本次地球物理勘探根据矿方要求,结合现场条件,采用并行交流电透技术,完成以下任务:
(1)探查1021工作面顶板方向100m深度范围内岩层富水情况;
(2)探查1021工作面底板方向100m深度范围内岩层富水情况。
2 探测方法原理
2.1 物性解释基础
工作面内及煤层顶底板岩层内的富水区,通常表现为低电阻率异常。工作面内的较大落差断层(>1/2煤厚),在断层两侧常存在煤层变薄现象,电阻率相对变低;而厚层煤区则表现为相对高阻。因此,富水区范围和煤层变薄区等与正常煤层间存在明显的电性差异,可以进行电法探测来查明相关问题。从电性上分析,不同岩性的地层其一般规律为:灰岩、煤层电阻率值相对较高、砂岩次之、粘土岩类最低。即泥岩、粘土岩、粉砂岩等与灰岩、煤层的导电性差异明显。
由于本区地层的沉积序列比较清晰,地层在原生状态下,其导电性特征在纵向上有其固有的变化规律,而在横向上相对比较均一。当存在构造破碎带时,如果构造内不含水,则其导电性较差,使局部电阻率值增高;如果构造含水,由于含水体具良好导电性,它与围岩产生明显的电性差异,其导电性较好。
总之,一旦存在断层等含水地质构造,都将打破地层原有的电性分布规律。这种变化特征的存在,给以导电性差异为应用基础的电法探测技术的实施提供了良好的地球物理前提。
2.2 并行交流电透技术方法
由于地下各种岩石之间存在导电差异(表2-1所示),影响着人工电场的分布形态。矿井并行交流电穿透法就是利用专门的仪器在井下观测人工场源的分布规律来达到解决地质问题的目的。
表2-1 一般煤系地层常见岩石电阻率值

矿井并行交流电透法,每次发射所有接收极同时接收实现同场观测,既提高了施工效率,又提高了数据的相关性。同时采用多模多频(单频、混频)收发,提高信号的分辨率和穿透能力,是继矿井直流电法,音频电法之后的一种新方法。
1)地电模型及点源场的分布特征
与地面电法不同的是,矿井并行交流电穿透法以全空间电场分布理论为基础。对于均匀全空间,点电源产生的电场分布特征,可用如下关系式表达:



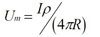
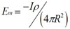
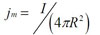
式中:Um—电位; I—供电电流强度A;
Em—电场强度; jm—电流密度;
ρ—均匀空间介质电阻率/Ω.m;
R—MA的距离/m
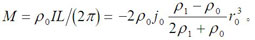
孙家沟矿煤层与其顶、底板(一般为砂岩、泥岩互层)具有明显的电性差异。而煤层相对其顶、底板为高阻层,可用图2-1所示的三层地电模型来模拟上述电性组合特征。

图2-1 井下三层地电模型示意图

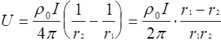
式中:Ui,j为第i层的点源在第j层的电位;L供电点至观测点的距离;ρi为第i层的电阻率值;kn(i,j)=F(L,d,θ,ρm)为反射系数函数。

图2-2 含水构造的模拟及电位异常反映特征示意图
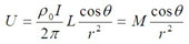
含水构造可以模拟为局部地质体,如图2-2c所示。对于井下局部地质体的附加场,可用导电球来说明问题。即电流场中导体的异常可以近似地看作电偶极子的异常。其表达式为:

由于r1>>1,r2>>1,故r1-r2≈lcosθ,r1·r2≈r2,上式变为:

式中:

在直角坐标系中偶极场电位分布关系式为:

当=90时,


则低阻良导体产生一个负电位,如图2-2a所示。
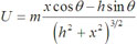
对于井下近似三层地电模型来说,其点源场电位表达式为:U=U0+Un (2-10)
式中:U0为无局部地质体时的电位分布;Un为局部地质体的异常。
根据(2-5)式、(2-10)式可以看出异常曲线(U/U0)是以点源A与地质体连线的延线为对称轴的轴对称曲线,如图2-2b所示。异常幅度、宽度与异常体的大小、异常体与围岩的电性差异及距收发面的距离等有关。异常体规模(体积与含水强弱的综合反映)越大、与围岩的电性差异越大、距收、发面距离越小,异常幅度就越大;反之则越小。图2-2c为底板下存在含水体与不含局部水体等两种条件下电位测量曲线的比较示意图。
3 现场数据采集
3.1 测点布置及工作量统计
现场探测工作于2015年9月13日至9月15日进行。本次并行交流电透技术探测,自1021工作面的切眼开始,分别在上巷、下巷编点为1#,以10m为点距编号,风巷从1#~96#,机巷从1#点~101#点。发射点间距为50m,对应巷道进行扇形扫描接收。在井下施工时,可以根据巷道具体情况、施工中测量发现异常情况及对巷道已揭露断层区域的充分控制,适当调整发射点位和接收范围。设计本次物探工作在风巷、机巷分别布置发射点20个、21个,共41个发射点。每个发射点一般对应1521个接收点,并与井下可见的测量导线点取得联系、进行校对。如图3-1所示。

图3-2 现场电法测线布置图

a. 轴向单极偶极法 b. 井下电穿透测量方式
图3-2 矿井并行交流电穿透施工布置图
工作中根据井下实际施工条件,可能采取的技术措施如下:(1)并行交流电穿透的施工同时在采煤工作面的两顺槽进行,每10m一个测点50m一个供电点;(2)针对每个供电点,在另一顺槽的扇形对称区间1522个点进行观测,以确保采面内各单元有两次以上的覆盖;(3)采用AMN装置施工时,MN应布置在两帮上,其连线应垂直顺槽走向;(4)电极(特别是MN电极)应尽可能打在坚实层位上,并尽可能避开积水、淋水地段,以避免极化不稳定等现象发生;实在无法避开上述异常地段时,应做详细记录,以便资料解释时参照;(5)电极离开铁轨0.5m以上,当使用锚杆时,应避免锚杆与其它金属网接触;(6)物探采集数据时,应避免皮带或其它设备工作,特别在工作面斜长较大,增大供电电流受限制的时候,更应如此。
为保证原始资料质量,施工严格按照《煤炭电法勘探规范》(MT/T 898-2000)进行,当现场与积水、淋水等地段时应注意避开或侧面加密。
4 探测结果分析
4.1 数据处理
并行交流电透视数据处理:数据处理时首先建立统一坐标系,以1021工作面机巷与切眼交点为平面坐标原点,沿工作面走向为x轴正方向,沿工作面倾斜方向为y轴正方向,为每个发射接收观测组电极建立坐标,并形成给定的数据格式文件,然后进行CT反演,获得工作面内岩层的电性参数,采用Surfer软件形成电阻率等值线图。
4.2 底板并行交流电透视结果分析
附图4-1、附图4-2、附图4-3、附图4-4为底板岩层富水性并行交流电透视探测成果图,分别代表1021工作面底板下0~20m段、20~40m段、40~60m段、60~80m段岩层的综合电性响应。从附图4-1、4-2、4-3、4-4总体来看,工作面底板并行交流电透视的视电导率值分布在0.4~12.5S/m范围内,根据数据体的统计分布特征,确定异常区的视电导率阈值为4.8S/m,即大于4.4S/m的视电阻率等值线区为异常区。依据此阈值原则,结合地质资料分析,认为1021工作面底板存在4处低阻异常区,分别为FYC1、FYC2、FYC3和FYC4,各异常区具体分布情况见表4-1。
表4-2 1021工作面顶板并行交流电透视探测电性异常分析表

表4-1 1021工作面底板并行交流电透视探测电性异常分析表

4.3 顶板并行交流电透视结果分析
表4-1 1021工作面底板并行交流电透视探测电性异常分析表

附图4-5、附图4-6、附图4-7、附图4-8为顶板岩层富水性并行交流电透视探测成果图,分别代表1021工作面顶板上0~20m段、20~40m段、40~60m段、60~80m段岩层的综合电性响应。从附图4-5、4-6、4-7、4-8总体来看,工作面顶板并行交流电透视的视电导率值分布在0.4~7.5S/m范围内,根据数据体的统计分布特征,确定异常区的视电导率阈值为3.6S/m,即大于3.6S/m的视电阻率等值线区为异常区。依据此阈值原则,结合地质资料分析,认为1021工作面顶板存在5处低阻异常区,分别为FYC5、FYC6、FYC7和FYC8,各异常区具体分布情况见表4-2。
5 结论及建议
5.1 探测结论
从以上分析,获得如下探测结论:
一、底板并行交流电透结论
1)并行交流电透视法测试结果分析确定工作面底板存在4处低阻异常,分别为FYC1、FYC2、FYC3和FYC4(见表4-1);
2)以上划分的视电阻率异常区为相对富水区;
3)根据分析解释,以平面异常分布范围加以描述,认为上述异常区中FYC1、FYC2为1021工作面防治水重点区段,其中,FYC1异常区底板砂岩裂隙水有一定的水力联系,FYC2异常区与底板灰岩含水层水有水力联系。
4)基于上述认识,我们建议生产期间以工作面的FYC1、FYC2异常区为防治水重点区段。
二、顶板并行交流电透探测结论
1)并行交流电透视法测试结果分析确定工作面底板存在4处低阻异常,分别为FYC5、FYC6、FYC7和FYC8(见表4-2);
2)以上划分的视电阻率异常区为相对富水区;
3)据分析解释,以平面异常分布范围描述,认为上述异常区中FYC5、FYC6为1021工作面防治水重点区段,其中FYC5异常区顶板砂岩裂隙水有一定的水力联系,FYC6异常区与顶板砂岩含水层水有水力联系,主要表现为往上富水性渐弱;
4)基于上述认识,我们建议生产期间以工作面的FYC5、FYC6异常区为防治水重点区段。
结合地质资料分析,1021工作面顶板砂岩层、底板灰岩层富水,本次探测异常区为相对富水区,总体表现为相对富水性不均一分布。
5.2 建议
以上探测结论是根据电法探测资料的实际反映并结合有关水文地质资料分析而来。由于井下电法探测深度(或深度)的限制,实际上成果资料反映的水文地质信息仅局限与一定深度(或高度)范围内地层的水文条件。而矿井涌水的变化不仅受井下电法涉及区域地层的水文地质条件,还与测区外(下方)含水构造的发育、连通情况、补给源、水头压力及煤层厚度、采煤方法、回采速度等诸多因素相关。随着上述因素的不同变化,涌水量、涌水位置、时间也会在一定程度上变化。因此建议有关技术部门在回采前加强异常区探放水及治理工作;回采期间加强水文观测及资料收集工作,发现异常及时反馈给有关主管部门,以便及时采取防治水技术措施,确保生产安全。
附图1 1021底板0-20m并行交流电透探测成果图

附图2 1021底板20-40m并行交流电透探测成果图

附图3 1021底板40-60m并行交流电透探测成果图

附图4 1021底板60-80m并行交流电透探测成果图

附图5 1021顶板0-20m并行交流电透探测成果图

附图6 1021顶板20-40m并行交流电透探测成果图

附图7 1021顶板40-60m并行交流电透探测成果图

附图8 1021顶板60-80m并行交流电透探测成果图

附图9 1021底板并行交流电透探测异常成果图

附图10 1021顶板并行交流电透探测异常成果图
