叶展荣1
(1.福州华虹智能科技股份有限公司,福建福州)
摘 要:介绍了瞬变电磁法在隧道中应用的基本原理,及该方法在隧道超前预报预测上的原理、技术、方法及应用。论述了矿用瞬变电磁技术在预报预测隧道掘进头前方赋水的有效性,总结出矿用瞬变电磁技术在隧道特殊环境应用中需注意的若干关键问题。通过实例证明瞬变电磁法可以很好地满足隧道超前预测、预报的要求。在实际工程勘探中,该方法可以准确反映出隧道前方地质体的赋水特征,为隧道防治水害提供了依据。(1.福州华虹智能科技股份有限公司,福建福州)
关键词:矿用;瞬变电磁法;隧道超前预报预测;破碎带;赋水
1 引 言
在隧道掘进过程中经常会碰到一些较大的灾害性赋水地质构造,如断层破裂带、裂隙发育区、岩溶、陷落柱及其伴生构造等,不仅破坏了岩层的稳定性和完整性,还可能诱发掌子面突水、瓦斯突出、冒顶等事故,给复杂地质条件下隧道掘进的安全生产造成严重威胁[1]。因此,超前预测隧道前方的地质构造赋水性具有非常重要的意义。通过煤矿深部巷道10多年预报实践表明,矿井瞬变电磁法在煤矿隧道巷道内探查其周围空间不同位置、不同形态含水构造的有效物探方法之一,而且凭借体积效应小、方向性强、分辨率高、对低阻区敏感等一些优点,已成为煤矿水害预报预测的最佳选择方法。与传统的单一钻探方法相比,虽然钻探单孔准确,但其效率低、成本高,很难圈定富水区范围,并且具有很强的盲目性。而矿用瞬变电磁超前预报预测可以高效、准确地以面状及大广度预报预测隧道掌子面前方赋水状态,可以提高煤矿生产效率,缩短隧道掘进所花费的时间,节约成本[2~7]。而近地表开拓的隧道,在进入水害较大区域时,也需要专门的技术方法去做预报预测,与深部矿井巷道类似,隧道也是在全岩石空间中掘进的,其探测理论基础也是基于全空间理论基础的,完全不同于地面半空间瞬变电磁技术。根据深部矿井巷道复杂的探查环境设计出来的专业性瞬变电磁装置。实践表明,矿用瞬变电磁法对掘进掌子面前方构造具有较好的探查效果,基于理论基础,和类似环境实践,我们应该积极移植矿用瞬变电磁进入隧道超前预报预测领域中,为隧道掘进的安全提供有效的技术支撑。
2 方法原理
2.1 瞬变电磁法基本理论
瞬变电磁法又称为时间域电磁法(TEM),它是利用不接地回线或接地线源向地下发射一次脉冲磁场,在一次脉冲磁场间歇期间,利用线圈或接地电极观测二次涡流场的方法。通过研究二次涡旋电磁场的时空分布特征,来解决诸如寻找地下矿产,预报预测地质构造,划分地下富水区等地质问题。其基本工作方法是:在地面或空中设置发射线圈,从而在其周围空间产生一次电磁场,并在地下导电岩矿体中产生感应电流;断电后,感应电流由于热损耗而随时间衰减。衰减过程一般分为早、中和晚期。早期的电磁场相当于频率域中的高频成分,衰减快,趋肤深度小;而晚期成分则相当于频率域中的低频成分,衰减慢,趋肤深度大。通过测量断电后各个时间段的二次场随时间变化规律,可得到不同深度的地电特征。
2.2 矿用瞬变电磁法理论
矿用瞬变电磁法的基本原理与地面瞬变电磁法基本一致。不同的是矿用瞬变电磁法是在隧道几百米深的隧道内进行的,瞬变电磁场呈全空间分布,这时的瞬变响应为全空间响应。由“烟圈”理论来看,早期瞬变电磁场是由距离发射线框较近的隧道围岩介质的感应电流产生的,可以反映近距离的电性分布;晚期瞬变电磁场是由距离发射线框相对较远的围岩介质的感应电流产生的,可以反映远距离的电性分布,因此应用矿用瞬变电磁仪记录不同瞬变延时T的感应电动势,经过处理便可以得到隧道围岩由近及远的电性分布情况[8~10]。
矿用瞬变电磁法在忽略隧道空间的影响下,可以理解为线圈被整个大地给“包”了起来,所以在线圈的两侧都会产生“烟圈效应”,其响应特征为全空间电磁响应,如图1所示。

图1 全空间瞬变电磁场的传播

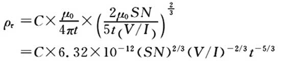
式中:C为全空间响应系数;S为接收回线线圈面积;N为线圈匝数;T为二次场衰减时间;V/I为接收的归一化二次场电位场值。该公式是在地面瞬变电磁数据处理的基础上加上全空间相应系数,使其演化为全空间视电阻率公式。
3 矿用瞬变电磁法影响因素分析
原来矿用瞬变电磁法测量环境位于深部矿井巷道内,矿用瞬变电磁法除了其电磁响应为全空间场外,还具有回线组合的尺寸比地面小得多(一般为2M左右),加上隧道铁轨、工字钢支护、锚网支护和运输皮带支架等人文设施的影响,使得矿用瞬变电磁超前预报预测比地面复杂得多。其对数据的采集工作影响很大,因而在通过提高设备的抗干扰水平外,还需要现场干预措施来降低对这些人文设施产生的噪声,以便得到准确的数据,从而进行数据的处理解释。而隧道环境,同样有人文干扰,但要少得多,因此不需要再改造设备及装置就可以直接使用,但仍需要人工干预移除一些人文干扰源。以下是针对矿用瞬变电磁法在隧道中可能遇到的各种噪声进行分析,并提出瞬变电磁响应特征和处理方法,为采集到有效数据提供必要分析。
3.1 台车、推土机和挖掘机等大型机械对瞬变电磁影响分析
隧道预报预测一般采用中心回线或重叠回线方式,发射线圈发射一次场电磁波,接收线圈在同步接收二次感应磁场,而能够吸收电磁波一次场,除了水还有金属体,因此,为了有效获取水的二次场,必须排除金属体的二次场。而在隧道实际环境中,移除大型铁器的限度也是有效的,那么移出多远是可以的呢,在矿井巷道实践表明,要探测掌子面前方100米的赋水异常,需要后方大型铁器至少后退50米,因此,隧道掌子面预报预测中,大型机械应该后撤50米以上。
3.2 U型钢、锚网对瞬变电磁影响分析
U型钢和锚网支护属于隧道常见的一种支护方式,隧道预报预测时线圈平面垂直于巷壁支护,在实验室测试和矿井巷道中实践表明,垂直于线圈平面的铁器对数据的采集干扰随着距离增加呈指数衰减,加上U型钢和锚网等单位体积较小,综合看对预报预测影响较小,在实际应用时甚至可以忽略不计。类似的其他情况,如帮壁可能侧挂有金属或含水管路,同样,这些金属或水体在垂直于发射线圈平面上,实际影响也较小。
3.3 钻机及钻杆等小铁器对瞬变电磁的影响分析
一般钻机和钻杆放在掌子面,用于打放炮的炮孔,直接放在掌子面,对瞬变电磁采集有效二次场有较大干扰,同时这些小铁器比较容易搬开,因此需要搬离掌子面,可以办到掌子面后20米开外的侧帮,并放倒到地板上就好。
通过分析,以上阐述的影响隧道瞬变电磁法超前预报预测的人文因素。都可以通过人工积极干预得到解决。实在因客观原因不能移除的,小体积的尽量避开,同时做好记录,以便在资料解释时排除和校正此类影响,大的也可以选择它可以移开的时候去做。
4 矿用瞬变电磁法施工方法
由于受隧道空间所限,装置采用多匝小回线,线圈边长2~3M,通过增加线圈匝数的方法来加大发射磁矩与有效接受面积,以满足预报预测深度的要求。线圈的法线方向可视为预报预测方向。预报预测方向如图2所示。

图2 瞬变电磁超前预报预测测点布置及预报预测范围
4.1 测线、测点布置
本次预报预测测点间距为0.4M,实际测量时,为了在隧道内预报预测到掌子面前方80米内赋水异常区,采用多匝线圈(图2),发射线框和接收线框分别为匝数不等但共中心的两个独立线框,以便与地下(前方)异常体产生最佳耦合响应。测线以横测线的方式,分上下两条测线的布置方式,布置匝隧道掌子面上,共完成80个物理点预报预测。
4.2 资料解释与处理

图3 瞬变电磁超前预报预测方向示意

图4 瞬变电磁法数据解译过程

图3 瞬变电磁超前预报预测方向示意

图4 瞬变电磁法数据解译过程
瞬变电磁法勘探资料的基本处理过程是:解释数据整理、数据预处理;数据转换与计算;视电阻率换算;时深转换;绘制成果图;异常确认;根据地质及水文资料进行综合解释。瞬变电磁法勘探资料的解释需结合已知的地质、钻探和水文等资料。在具体解释中还需做到:①人工解释与计算机解释相结合;②多测线解释相结合;③电性解释与综合地质分析相结合。
5 应用实例
5.1 地质概况
福建南龙铁路NLZQ-6标项目部九鹏溪,地形复杂,山高谷深,断层裂隙发育,雨水众多,地表水丰富。九鹏溪斜井小里程方向DK178+606掌子面位于朱罗系上统J3d1弱风化凝灰岩里,距离地表150米左右,受地面风化带含水影响,加上断层裂隙导通作用,使得上覆含水风化带的水,得以源源不断进入工作隧道中。现在DK178+606掌子面刚通过F1断层,仍未通过断层带伴生破碎和裂隙的影响范围。
5.2 水文地质条件
由于掌子面位于山体中,埋藏较浅,受第四系含水层和大气降水影响大,山体岩性为单一凝灰岩,本身微弱含水,但由于山体断层和裂隙较为发育,使得掌子面与地表的水力联系密切。本次瞬变电磁勘查重点是要查明隧道掘进前方凝灰岩里赋水区位置和对隧道掘进的影响。
5.3 地球物理特征
在原生地层状态下,不同地层的导电性特征在纵向上固定的变化规律,而在横向上相对比较匀一。当断层、裂隙和陷落柱等地质构造发育时,无论其含水与否,都将打破地层电性在纵向和横向上的变化规律。不含水的岩石在电性上表现为高电阻率特征,如果岩石裂隙发育且含水,那么在岩层裂隙发育、断层或裂隙带附近导电性增强,视电阻率明显降低。据此,通过预报预测岩层的电阻率及其在空间上的变化规律并结合具体地质情况综合分析便可确定岩层的水文地质特征,这是矿用瞬变电磁法预报预测工作面含水性的物理基础。
5.4 预报预测结果
使用多匝共中心小回线装置形式,发射线圈匝数为10匝,线圈边长2M,接收线圈匝数为20匝,边长0.8米。根据隧道防爆要求,发射电流采用9V、4.2A,关断时间约0.5μS,32次叠加,进行了顺层方向的预报预测。预报预测结果如图5所示。横坐标、纵坐标为从掘进头始的超前预报预测距离。超前预报预测距离公式[12]为:
5 应用实例
5.1 地质概况
福建南龙铁路NLZQ-6标项目部九鹏溪,地形复杂,山高谷深,断层裂隙发育,雨水众多,地表水丰富。九鹏溪斜井小里程方向DK178+606掌子面位于朱罗系上统J3d1弱风化凝灰岩里,距离地表150米左右,受地面风化带含水影响,加上断层裂隙导通作用,使得上覆含水风化带的水,得以源源不断进入工作隧道中。现在DK178+606掌子面刚通过F1断层,仍未通过断层带伴生破碎和裂隙的影响范围。
5.2 水文地质条件
由于掌子面位于山体中,埋藏较浅,受第四系含水层和大气降水影响大,山体岩性为单一凝灰岩,本身微弱含水,但由于山体断层和裂隙较为发育,使得掌子面与地表的水力联系密切。本次瞬变电磁勘查重点是要查明隧道掘进前方凝灰岩里赋水区位置和对隧道掘进的影响。
5.3 地球物理特征
在原生地层状态下,不同地层的导电性特征在纵向上固定的变化规律,而在横向上相对比较匀一。当断层、裂隙和陷落柱等地质构造发育时,无论其含水与否,都将打破地层电性在纵向和横向上的变化规律。不含水的岩石在电性上表现为高电阻率特征,如果岩石裂隙发育且含水,那么在岩层裂隙发育、断层或裂隙带附近导电性增强,视电阻率明显降低。据此,通过预报预测岩层的电阻率及其在空间上的变化规律并结合具体地质情况综合分析便可确定岩层的水文地质特征,这是矿用瞬变电磁法预报预测工作面含水性的物理基础。
5.4 预报预测结果
使用多匝共中心小回线装置形式,发射线圈匝数为10匝,线圈边长2M,接收线圈匝数为20匝,边长0.8米。根据隧道防爆要求,发射电流采用9V、4.2A,关断时间约0.5μS,32次叠加,进行了顺层方向的预报预测。预报预测结果如图5所示。横坐标、纵坐标为从掘进头始的超前预报预测距离。超前预报预测距离公式[12]为:

其中:M为发送磁矩;ρ1为表层电阻率;η为最小可分辨电压。由上式可知,瞬变电磁的预报预测深度与发送磁矩、覆盖层电阻率及最小可分辨电压有关。此式为野外工程中常用来计算预报预测深度的公式。多匝共中心小回线装置形式发射电流关断时间过长,产生一定范围的盲区,近距离信息无法分辨。

图5 掘进头超前预报预测视电阻率断面
从图5可以看出,瞬变电磁法在探测DK178+ 606掌子面正前方上测线及其下下测线视电阻率等值线剖面显示,在隧道中心线右侧正前方25m以内,视电阻率值较正常值大幅偏低,且较左侧前方也相对较低,同时上测线表达的低阻范围比下测线范围广,近处范围广,水平前方范围小,符合地面半风化带裂隙水分布上宽下窄的普遍规律,结合现场掌子面滴淋水情况,推测掌子面25米范围内右侧的相对低阻异常区,是目前F1断层伴生裂隙带含水的延续,存在裂隙赋水异常。60米-100米,陆续出现的多个低阻异常,同理推测为裂隙赋水异常。
依据以揭露的出水裂隙情况看,探测的裂隙赋水异常区,主要以流面水为主,存在重大吐水风险,需要注意观测,并采用地质雷达加密观测,结合钻探做好防治水工作。
在继续掘进8米时,出现每小时200立方的突水,并伴有泥石流,证明该范围确为裂隙带赋水区,由于施工方重视探测结果,措施得力,无人员伤亡,预报预测结果得到了较好验证。
6 结 语
通过实例,可以看出瞬变电磁法预报预测深度相对较大,施工方便、工作效率高及地质效果好,能够适应目前隧道掘进水文地质预报预测的工作要求。矿用瞬变电磁法在隧道隧道超前预报预测方面具有很多优点,特别是可以在狭小的隧道掌子面空间中工作和数据采集效率高,不影响煤矿隧道的正常掘进,是其它方法所不具备的。该方法可有效地预测隧道掘进掌子面前方的含水异常,可提前预报前方断层及破碎带、裂隙发育区、岩溶、陷落柱等构造的赋水性,保障了隧道的安全、快速掘进。但是我们也应看到,要实现瞬变电磁法在这个领域的成熟应用,还需要一段过程的实践总结。这就需要我们对瞬变电磁法的理论和资料处理进行更深入的研究和探索,从而更好地为隧道水文地质勘探工作服务。
参考文献:
[1]姜志海,岳建华,刘志新.矿井瞬变电磁法在老窑水 超前探测中的应用[J].工程地球物理学报,2007.
[2]郭纯,刘白宙,白登海.地下全空间瞬变电磁技术在煤矿巷道掘进头的连续跟踪超前探测[J].地震地质,2006.
[3]方文藻,李予国,李貅.瞬变电磁测探法原理[M].西安:西北工业大学出版社,1993.
[4]李貅.瞬变电磁法在煤田矿井涌水通道勘察中的应用[J].西安工程学院学报,2000.
[5]李貅.瞬变电磁测深的理论与应用[M].西安:陕西科学技术出版社,2002.
[6]于景邨.矿井瞬变电磁法勘探[M].徐州:中国矿业大学出版社,2007.
[7]于景邨.矿井瞬变电磁法理论与应用技术研究[D].徐州:中国矿业大学,2001.
[8]刘树才,岳建华,刘志新.煤矿水文物探技术与应用[M].徐州:中国矿业大学出版社,2005.
[9]章永风.复杂地质条件下防治老窑水害的综合分析方法[J].煤炭技术,2000.
[10]傅佩河,祝仰民,周长根,等.断层富水性的矿井瞬变电磁法探测[J].隧道掘进,2006.
[11]于景邨,刘志新,刘树才,等.深部采场突水构造矿井瞬变电磁法探查理论及应用[J].煤炭学报,2007.
[12]薛国强.论瞬变电磁测深法的探测深度[J].石油地球物理勘探,2004.
作者简介:
叶展荣(1985-),男,广东肇庆人,工程师,主要从事地球物理勘探及研究工作。
依据以揭露的出水裂隙情况看,探测的裂隙赋水异常区,主要以流面水为主,存在重大吐水风险,需要注意观测,并采用地质雷达加密观测,结合钻探做好防治水工作。
在继续掘进8米时,出现每小时200立方的突水,并伴有泥石流,证明该范围确为裂隙带赋水区,由于施工方重视探测结果,措施得力,无人员伤亡,预报预测结果得到了较好验证。
6 结 语
通过实例,可以看出瞬变电磁法预报预测深度相对较大,施工方便、工作效率高及地质效果好,能够适应目前隧道掘进水文地质预报预测的工作要求。矿用瞬变电磁法在隧道隧道超前预报预测方面具有很多优点,特别是可以在狭小的隧道掌子面空间中工作和数据采集效率高,不影响煤矿隧道的正常掘进,是其它方法所不具备的。该方法可有效地预测隧道掘进掌子面前方的含水异常,可提前预报前方断层及破碎带、裂隙发育区、岩溶、陷落柱等构造的赋水性,保障了隧道的安全、快速掘进。但是我们也应看到,要实现瞬变电磁法在这个领域的成熟应用,还需要一段过程的实践总结。这就需要我们对瞬变电磁法的理论和资料处理进行更深入的研究和探索,从而更好地为隧道水文地质勘探工作服务。
参考文献:
[1]姜志海,岳建华,刘志新.矿井瞬变电磁法在老窑水 超前探测中的应用[J].工程地球物理学报,2007.
[2]郭纯,刘白宙,白登海.地下全空间瞬变电磁技术在煤矿巷道掘进头的连续跟踪超前探测[J].地震地质,2006.
[3]方文藻,李予国,李貅.瞬变电磁测探法原理[M].西安:西北工业大学出版社,1993.
[4]李貅.瞬变电磁法在煤田矿井涌水通道勘察中的应用[J].西安工程学院学报,2000.
[5]李貅.瞬变电磁测深的理论与应用[M].西安:陕西科学技术出版社,2002.
[6]于景邨.矿井瞬变电磁法勘探[M].徐州:中国矿业大学出版社,2007.
[7]于景邨.矿井瞬变电磁法理论与应用技术研究[D].徐州:中国矿业大学,2001.
[8]刘树才,岳建华,刘志新.煤矿水文物探技术与应用[M].徐州:中国矿业大学出版社,2005.
[9]章永风.复杂地质条件下防治老窑水害的综合分析方法[J].煤炭技术,2000.
[10]傅佩河,祝仰民,周长根,等.断层富水性的矿井瞬变电磁法探测[J].隧道掘进,2006.
[11]于景邨,刘志新,刘树才,等.深部采场突水构造矿井瞬变电磁法探查理论及应用[J].煤炭学报,2007.
[12]薛国强.论瞬变电磁测深法的探测深度[J].石油地球物理勘探,2004.
作者简介:
叶展荣(1985-),男,广东肇庆人,工程师,主要从事地球物理勘探及研究工作。



下一篇