福州华虹智能科技股份有限公司 华东办 骆彬 彭保建 卢小龙 周凯
0 引 言并行电法透视系统是以YBT32矿用并行电法仪为基础,采用时间同步的收发分离方式,现场布置时是在工作面的其中一条巷道内按一定间距布置多个发射点点源,在另侧巷道内采用多个并行电极组扫描式接收一定角域范围的电场数据,待完成一个轮回的收发观测任务后,将发射与接收装置进行互换,实现双向全场覆盖观测,如图1所示。实际勘探时,可根据工作面宽度、巷道条件及探测目标等情况,选择观测的角域范围及沿x或y方向电场值。相对以往工作面探水方法,该系统采用了基于时间约定的多道并行数据采集方式,数据体间的同步性好,改善了不同时间观测数据的噪声干扰问题,同时大幅提高了现场工作效率,减轻了实测工作对煤矿生产进度的影响。

1.1工作面概况
7212工作面位于中央采区,为72煤层,走向长平均650m,倾向长145m,工作面标高为-319~-362m。井下位置及四邻采掘情况,该面位于7112采空区下面,右侧为采区上山保护煤柱,左侧为F6及SF11断层。72煤层厚0.7~3.5m左右,平均厚2.5m左右;煤层结构简单,煤层倾角为4°~7°,平均倾角为5°。
72煤层老顶:岩性为细砂岩、中砂岩及少数为厚层粉砂岩;直接顶板:多数为复合顶板,少数为单一岩性,岩性为泥岩、粉砂岩、细砂岩、中砂岩、煤、炭质泥岩;伪顶:岩性为泥岩、粉砂岩、炭质泥岩。
1.2 探测目的及任务
根据《煤矿防治水规定》的要求,工作面回采前必须查明顶板富水性,编制水文地质情况报告,为工作面防治水工作提供技术依据,采用交流电透视手段查明工作面顶板岩层富水情况。
本次勘探,结合现场条件,采用交流电透技术,完成以下任务:探查7212工作面煤层顶板岩层富水性情况。
2 探测方法简介
2.1 物性解释基础
工作面内及煤层顶底板岩层内的富水区,通常表现为低电阻率异常。工作面内的较大落差断层(>1/2煤厚),在断层两侧常存在煤层变薄现象,电阻率相对变低;而厚层煤区则表现为相对高阻。因此,富水区范围和煤层变薄区等与正常煤层间存在明显的电性差异,可以进行电法探测来查明相关问题。从电性上分析,不同岩性的地层其一般规律为:灰岩、煤层电阻率值相对较高、砂岩次之、粘土岩类最低。即泥岩、粘土岩、粉砂岩等与灰岩、煤层的导电性差异明显。
由于本区地层的沉积序列比较清晰,地层在原生状态下,其导电性特征在纵向上有其固有的变化规律,而在横向上相对比较均一。当存在构造破碎带时,如果构造内不含水,则其导电性较差,使局部电阻率值增高;如果构造含水,由于含水体具良好导电性,它与围岩产生明显的电性差异,其导电性较好。
总之,一旦存在断层等含水地质构造,都将打破地层原有的电性分布规律。这种变化特征的存在,给以导电性差异为应用基础的电法探测技术的实施提供了良好的地球物理前提。
2.2 交流电透视技术方法
由于地下各种岩石之间存在导电差异(表2-1所示),影响着人工电场的分布形态。矿井交流电穿透法就是利用专门的仪器在井下观测人工场源的分布规律来达到解决地质问题的目的。

1)地电模型及点源场的分布特征
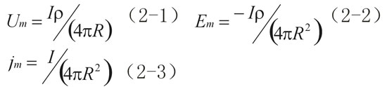
与地面电法不同的是,矿井交流电穿透法以全空间电场分布理论为基础。对于均匀全空间,点电源产生的电场分布特征,可用如下关系式表达:

式中:Um—电位; I—供电电流强度/A;
Em—电场强度; jm —电流密度;
ρ—均匀空间介质电阻率Ω﹒m;
R—MA的距离/m
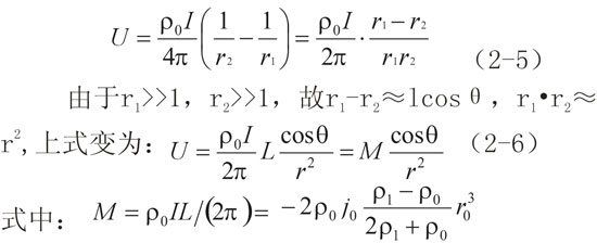
界沟煤矿煤层与其顶、底板(一般为砂岩、泥岩互层)具有明显的电性差异。而煤层相对其顶、底板为高阻层,可用图2-1所示的三层地电模型来模拟上述电性组合特征。


为反射系数函数。2)含水构造对点源场的电位影响
含水构造可以模拟为局部地质体,如图2-2c所示。


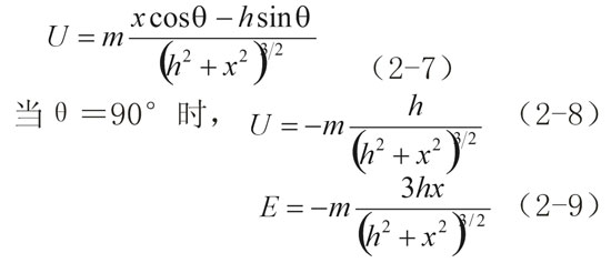
在直角坐标系中,偶极场的电位分布关系式为:

则低阻良导体产生一个负电位,如图2-2a所示。
对于井下近似三层地电模型来说,其点源场电位表达式为:U=U0+Un (2-10)
式中:U0为无局部地质体时的电位分布;Un为局部地质体的异常。
根据(2-5)式、(2-10)式可以看出异常曲线(U/U0)是以点源A与地质体连线的沿线为对称轴的轴对称曲线,如图2-2b所示。异常幅度、宽度与异常体的大小、异常体与围岩的电性差异及距收发面的距离等有关。异常体规模(体积与含水强弱的综合反映)越大、与围岩的电性差异越大、距收、发面距离越小,异常幅度就越大;反之则越小。
图2-2c为底板下存在含水体与不含局部水体等两种条件下电位测量曲线的比较示意图。
2.3 YBT32矿用并行电法透视仪
YBT32矿用并行电法透视仪由发射机和接收机两部分组成。1台YBT32-F矿用本安型并行电法透视仪发射机和4台 YBT32-S矿用本安型并行电法透视仪接收机组成,如图2-3。

2.4 电透视法技术观测方法
1、单极-偶极法(单点发射-偶极接收)
a、平行单极-偶极法 该方法的电极排列是将供电电极A置于巷道底板,另一供电电极B置于无穷远处,接收极M、N置于另一巷道底板,且其连线垂直于巷道走向,见图 (a)。
b、垂直单极-偶极法 该电极排列是将供电极A置于巷道底板,另一供电极B置于无穷远处,接收极M、N置于另一巷道且其连线平行于巷道走向,排列见图 (b)。
2、偶极-偶极法(偶极发射-偶极接收)
a、平行偶极-偶极法(1) 该法的电极排列是将供电偶极A、B置于一个巷道中,形成一个电偶极子,接收偶极M、N置于另一巷道中, AB、MN的排列均平行于巷道走向,见图 (c)。
b、平行偶极-偶极法(2) 该法的电极排列是将供电偶极A、B和接收偶极M、N分别置于工作面两侧的巷道中(与前者相同),只是AB、MN的排列均垂直于巷道走向,其排列见图 (d)。
c、垂直偶极-偶极法(1) 该法电极排列是将供电电极A、B置于一巷道中,且AB的连线与巷道走向平行,测量偶极M、N置于另一巷道中,且MN的连线与巷道走向垂直.其排列见图 (E)。

经过大量现场工作,现在常用的为单偶极,电极排列是将供电电极A置于巷道底板,另一供电电极B置于无穷远处,接收极M, N置于另一巷道底板,且其连线垂直于巷道走向。根据YBT32仪器装置特性,为了提高效率,在井下可选择法多发多收,现场具体数据采集时,一次性布置8个发射点电极,跑接收电极,一个接收组电极对应多个发射电极,保证每个发射电极对应不少于16个接收MN,这样相对一发一收、一发多收节省很多时间,施工效率大大提高。井下观测系统如图2-5矿井交流电透法观测系统布置示意图。

3 现场数据采集
3.1 测点布置及工作量统计
现场探测工作于2016年6月18日至6月20日进行。本次交流电透技术探测,自7212工作面的切眼开始,分别在风巷、机巷编点为1#,以10m为点距编号,风巷从0#~65#,机巷从0#点~65#点。发射点间距为50m,对应巷道进行扇形扫描接收。在井下施工时,根据巷道具体情况、施工中测量发现异常情况及对巷道已揭露断层区域的充分控制,适当调整发射点位和接收范围。设计本次物探工作在风巷、机巷分别布置发射点13个,共26个发射点。每个发射点一般对应15~21个接收点,并与井下可见的测量导线点取得联系、进行校对。如图3-1所示。


工作中根据井下实际施工条件,可能采取的技术措施如下:
(1)交流电穿透的施工同时在采煤工作面的两顺槽进行,每10m一个测点,50m一个供电点;(2)针对每个供电点,在另一顺槽的扇形对称区间1522个点进行观测,以确保采面内各单元有两次以上的覆盖;(3)采用A—MN装置施工时,MN布置在巷道顶上部,其连线应垂直顺槽走向;(4)电极(特别是MN电极)应尽可能打在坚实层位上,并尽可能避开积水、淋水地段,以避免极化不稳定等现象发生;实在无法避开上述异常地段时,应做详细记录,以便资料解释时参照;(5)电极离开铁轨0.5m以上,当使用锚杆时,应避免锚杆与其它金属网接触;(6)物探采集数据时,应避免皮带或其它设备工作,特别在工作面斜长较大,增大供电电流受限制的时候,更应如此。
为保证原始资料质量,施工严格按照《煤炭电法勘探规范》(MT/T 898-2000)进行,当现场与积水、淋水等地段时应注意避开或侧面加密。
4 探测结果分析
4.1 数据处理
交流电透视数据处理:数据处理时首先建立统一坐标系,以7212工作面切眼为平面坐标原点,沿工作面走向为x轴正方向,沿工作面倾斜方向为y轴正方向,为每个发射—接收观测组电极建立坐标,并形成给定的数据格式文件,然后进行CT反演,获得工作面内岩层的电性参数,采用Surfer软件形成电阻率等值线图。
4.2 顶板交流电透视结果分析

附图1、附图2、附图3、附图4为顶板岩层含水性交流电透视探测成果图,分别代表7212工作面顶板上0~10m段、10~30m段、30~50m段、50~80m段、80~100m段岩层的综合电性响应。从附图1、附图2、附图3、附图4、附图5总体来看,工作面顶板交流电透视的视电导率值分布在0.4~6.5 S/m范围内,根据数据体的统计分布特征,确定异常区的视电导率阈值为4.3S/m,即大于4.3S/m的视电阻率等值线区为异常区。依据此阈值原则,结合地质资料分析,认为7212工作面顶板存在9处低阻异常区,分别为FYC1、FYC2、FYC3、FYC4、FYC5、FYC6、FYC7、FYC8和FYC9,各异常区具体分布情况见表4-1。
5 结论及建议
5.1 探测结论
从以上分析,获得如下探测结论:(1)交流电透视法测试结果分析确定工作面顶板存在9处低阻异常,分别为FYC1、FYC2、FYC3、FYC4、FYC5、FYC6、FYC7、FYC8和FYC9(见表4-2);(2)以上划分的视电阻率异常区为相对含水区;(3)根据分析解释,以平面异常分布范围加以描述,认为上述异常区中FYC4、FYC5、FYC6、FYC8为7212工作面防治水重点区段,其中,FYC4、FYC5异常区顶板砂岩裂隙水有一定的水力联系;(4)基于上述认识,建议生产期间以工作面的FYC5、FYC6、FYC8异常区为防治水重点区段。
本次探测总体表现为相对富水性不均一,没有较强的含水体。
5.2 建议
以上探测结论是根据电法探测资料的实际反映并结合有关水文地质资料分析而来。由于井下电法探测深度(或深度)的限制,实际上成果资料反映的水文地质信息仅局限与一定深度(或高度)范围内地层的水文条件。而矿井涌水的变化不仅受井下电法涉及区域地层的水文地质条件,还与测区外(下方)的含水构造的发育、连通情况、补给源、水头压力及煤层厚度、采煤方法、回采速度等诸多因素相关。随着上述因素的不同变化,涌水量、涌水位置、时间也会在一定程度上变化。加强水文观测及资料收集工作,发现异常及时反馈给有关主管部门,以便及时采取防治水技术措施,确保生产安全。(完)





下一篇