吴超凡1,2 胡雄武3 刘盛东2,4 王勃2 邱占林1
(1龙岩学院资源工程系,福建龙岩364012
2中国矿业 深部岩土力学与地下工程国家重点实验室,江苏徐州 221008
3安徽理工大学 地球与环境学院,安徽淮南232001
4中国矿业大学 资源与地球科学学院,江苏徐州221008)
2中国矿业 深部岩土力学与地下工程国家重点实验室,江苏徐州 221008
3安徽理工大学 地球与环境学院,安徽淮南232001
4中国矿业大学 资源与地球科学学院,江苏徐州221008)
摘 要:为快速、准确地超前预报巷道掘进前方异常地质体及采取相应的水防治技术措施,在室内水槽试验的基础上,通过构建巷道前方低阻异常模型,对不同距离低阻体的响应特征进行模拟与分析,为现场探测应用提供依据。淮南某矿底抽巷道探测实践表明,沿巷道掘进前方60~75m段视电阻率值较低,初步判断该段岩层裂隙发育,含少量水;且与该范围相对应的底板两侧也存在不同程度的含水区,而其他探测区域视电阻率值则相对较高,富水性差。该探测结果与后续的生产实际情况吻合。
关键词:瞬变电磁法(TEM);巷道掘进;模型试验;感应电动势;视电阻率
0 前言
矿井开拓生产中会遇到多种地质异常体,掘进巷道前方的含水异常体往往对生产造成重大的影响。一旦发生透水事故,势必造成惨重人员伤亡及经济损失。因此,迫切需要可靠的探查技术,在巷道掘进或是工作面回采前有效探查存在的异常区域,提前采取水防治技术措施。
目前,在水防治技术领域,矿井瞬变电磁探查技术应用效果显著、技术成熟,且其作为一种非接触布极方式,不受接地条件约束,且测试占用空间小,探测距离长,因此,在地下空间有限的巷道中应用优势明显。薛国强、刘树才等[1-8]研究过瞬变电磁法在矿井巷道超前探测中的测试原理、工作方法、适用条件等内容,并已取得一定成果。但对于巷道空间条件下,巷道前方多方位的异常体响应特性研究相对较少。
笔者将结合掘进巷道前方存在低阻异常区的地质条件,构建三维空间模型,进行探查模拟试验,以获得其响应特征,为现场跟踪超前探测技术应用提供技术支撑。
1 地质模型探测试验
1.1 矿井全空间模型构建
井下实际空间条件是一种近似全空间条件,与全空间条件相比,其影响因素主要来源于巷道空腔。为模拟与实际测试条件相符的信号响应特征,增强对井下实测信号的认识,在室内构建矿井全空间模型。
1)模型试验选择在有机玻璃水槽内完成。掘进巷道使用一端封闭的柱状有机玻璃槽制作而成,按实际巷道尺寸的相似比例确定模型巷道的长×宽×高为65cm×20cm×20cm。将模型巷道固定在水槽一面(宽×高),且使巷道中心轴线距离水槽底板和右侧分别为35cm和70cm,其前方封闭一面即为巷道掘进工作面(图1)。玻璃槽的上、下、左和右方即为井下巷道的顶板、底板、左帮和右帮。
关键词:瞬变电磁法(TEM);巷道掘进;模型试验;感应电动势;视电阻率
0 前言
矿井开拓生产中会遇到多种地质异常体,掘进巷道前方的含水异常体往往对生产造成重大的影响。一旦发生透水事故,势必造成惨重人员伤亡及经济损失。因此,迫切需要可靠的探查技术,在巷道掘进或是工作面回采前有效探查存在的异常区域,提前采取水防治技术措施。
目前,在水防治技术领域,矿井瞬变电磁探查技术应用效果显著、技术成熟,且其作为一种非接触布极方式,不受接地条件约束,且测试占用空间小,探测距离长,因此,在地下空间有限的巷道中应用优势明显。薛国强、刘树才等[1-8]研究过瞬变电磁法在矿井巷道超前探测中的测试原理、工作方法、适用条件等内容,并已取得一定成果。但对于巷道空间条件下,巷道前方多方位的异常体响应特性研究相对较少。
笔者将结合掘进巷道前方存在低阻异常区的地质条件,构建三维空间模型,进行探查模拟试验,以获得其响应特征,为现场跟踪超前探测技术应用提供技术支撑。
1 地质模型探测试验
1.1 矿井全空间模型构建
井下实际空间条件是一种近似全空间条件,与全空间条件相比,其影响因素主要来源于巷道空腔。为模拟与实际测试条件相符的信号响应特征,增强对井下实测信号的认识,在室内构建矿井全空间模型。
1)模型试验选择在有机玻璃水槽内完成。掘进巷道使用一端封闭的柱状有机玻璃槽制作而成,按实际巷道尺寸的相似比例确定模型巷道的长×宽×高为65cm×20cm×20cm。将模型巷道固定在水槽一面(宽×高),且使巷道中心轴线距离水槽底板和右侧分别为35cm和70cm,其前方封闭一面即为巷道掘进工作面(图1)。玻璃槽的上、下、左和右方即为井下巷道的顶板、底板、左帮和右帮。

2)向玻璃槽内注水,当水位至距玻璃槽顶部10cm时停止,即150×140×70cm为该试验模拟空间,以纯水介质模拟巷道围岩介质,为避免干扰向水槽内加盐(NaCl)20kg,增加围岩电导率[9]。
3)选取直径为10cm、电导率为0.993S/m的圆形铜球模拟掘进巷道前方低阻异常区模型,将其悬挂于模拟巷道正前方和前方底板。其中,布置在正前方时球心距离巷道掘进工作面30cm和50cm,与巷道中心轴线保持水平,分别模拟不同超前距离低阻异常体;当铜球位于前方底板时,其球心距离巷道轴线15cm,即球心与巷道中心的连线与巷道轴线的夹角为26°。图2为超前测试布置平面图。

1.2 仪器设备
数据采集使用国内生产的YCS40(A)型矿用瞬变电磁仪,该仪器为发射和接收一体机。其中发射机采用双极性矩形供电方波,占空比为1:1,具有抗50Hz工频干扰能力。使用发射电压为7.2V,发射电流约2A。接收机单次采用40个时间窗口,系统采样延时最大300μs,接收信号动态浮动范围大(0.1-106μV),具有10,100和1000共3挡放大增益。整体性能优越,满足试验需求。
1.3 装置系统
数据采集使用国内生产的YCS40(A)型矿用瞬变电磁仪,该仪器为发射和接收一体机。其中发射机采用双极性矩形供电方波,占空比为1:1,具有抗50Hz工频干扰能力。使用发射电压为7.2V,发射电流约2A。接收机单次采用40个时间窗口,系统采样延时最大300μs,接收信号动态浮动范围大(0.1-106μV),具有10,100和1000共3挡放大增益。整体性能优越,满足试验需求。
1.3 装置系统

试验采用与井下探测相同的重叠回线装置方式[10-11],发射线圈和接收线圈均采用线径为0.1mm的漆包线绕制而成(图3)。其中,发射线圈参数为10cm×10cm×16匝,接收线圈参数为10cm×10cm×32匝。
1.4 记录时间
通过对试验系统进行数据采集比较,确定8.3Hz作为数据采集频率,从中选择15个时间窗口,分别为245,277.5,315,355,402.5,455,512.5,580,655,742.5,837.5,947.5,1072.5,1212.5和1370μs进行对比与计算分析。
1.5 模拟布置
数据采集时,按目前井下常用的扇形扫描观测系统进行布置(图4),单个测试剖面共在模拟巷道掘进工作面按不同角度布置13个测点,其中在模拟巷道的左前方和右前方各布置3个测点,角度分别为45°,30°和15°,在工作面正前方布置7个测点。试验时,利用重叠回线分别沿巷道正前方和巷道前方底板26°方向按测点编号依次采集数据,通过多测道感应电动势剖面,可分析异常分布特征。
1.4 记录时间
通过对试验系统进行数据采集比较,确定8.3Hz作为数据采集频率,从中选择15个时间窗口,分别为245,277.5,315,355,402.5,455,512.5,580,655,742.5,837.5,947.5,1072.5,1212.5和1370μs进行对比与计算分析。
1.5 模拟布置
数据采集时,按目前井下常用的扇形扫描观测系统进行布置(图4),单个测试剖面共在模拟巷道掘进工作面按不同角度布置13个测点,其中在模拟巷道的左前方和右前方各布置3个测点,角度分别为45°,30°和15°,在工作面正前方布置7个测点。试验时,利用重叠回线分别沿巷道正前方和巷道前方底板26°方向按测点编号依次采集数据,通过多测道感应电动势剖面,可分析异常分布特征。

1.6 数据测试分析
1.6.1 数据采集
为获取扇形观测系统条件下,异常体瞬变电磁场的响应特性,采集无铜球模型的水槽全空间瞬变电磁信号作为背景,再将铜球放置试验指定的不同超前距离位置和方位,依次采集各测点瞬变电磁场信号,通过不同电磁场信号的对比分析,突出异常条件下的瞬变电磁场响应特征。
1.6.2 数据分析
图5为获得的多测道感应电动势剖面,图5中纵坐标感应电动势指的是1安培的回线电流对应的感应电动势。其中,图5a为未放置铜球模型时采集到的背景感应电动势信号,可见,前期9个测道信号在巷道的左前方、正前方和右前方基本一致,基本位于1~10μV/A;后6道信号各测点之间有波动,且小于1μV/A,为环境电磁噪声引起。图5b为将铜球模型放入掘进工作面前方30cm时的响应电动势,与图5a相比,总体信号值提高,其中,左、右前方信号基本相同,值大于1μV/A,表明铜球对两侧数据采集有一定的响应;正前方信号相比背景,信号约提高2个数量级;由于观测方向的差异,图5b中正前方信号比左、右前方信号有显著提高,可以明显区分出掘进前方存在的异常区。图5c为铜球在巷道掘进工作面前方50cm时的响应电动势,其异常幅度有所降低,但与背景值相比高响应异常特征明显。图5d为铜球置于前方底板时利用线圈朝底板26°方向测试获得的响应电动势多测道剖面,其异常幅值与图5b相当,比图5c高,通过仔细分析,异常响应幅值的高低与铜球至线圈中心的距离l有较大关系,l越小,异常响应越高,如图5b和5d;相反,则异常响应幅值较低,如图5c。依此类推,当异常位于巷道轴线上方时(即顶板),其异常响应特征与上述类似。
1.6.1 数据采集
为获取扇形观测系统条件下,异常体瞬变电磁场的响应特性,采集无铜球模型的水槽全空间瞬变电磁信号作为背景,再将铜球放置试验指定的不同超前距离位置和方位,依次采集各测点瞬变电磁场信号,通过不同电磁场信号的对比分析,突出异常条件下的瞬变电磁场响应特征。
1.6.2 数据分析
图5为获得的多测道感应电动势剖面,图5中纵坐标感应电动势指的是1安培的回线电流对应的感应电动势。其中,图5a为未放置铜球模型时采集到的背景感应电动势信号,可见,前期9个测道信号在巷道的左前方、正前方和右前方基本一致,基本位于1~10μV/A;后6道信号各测点之间有波动,且小于1μV/A,为环境电磁噪声引起。图5b为将铜球模型放入掘进工作面前方30cm时的响应电动势,与图5a相比,总体信号值提高,其中,左、右前方信号基本相同,值大于1μV/A,表明铜球对两侧数据采集有一定的响应;正前方信号相比背景,信号约提高2个数量级;由于观测方向的差异,图5b中正前方信号比左、右前方信号有显著提高,可以明显区分出掘进前方存在的异常区。图5c为铜球在巷道掘进工作面前方50cm时的响应电动势,其异常幅度有所降低,但与背景值相比高响应异常特征明显。图5d为铜球置于前方底板时利用线圈朝底板26°方向测试获得的响应电动势多测道剖面,其异常幅值与图5b相当,比图5c高,通过仔细分析,异常响应幅值的高低与铜球至线圈中心的距离l有较大关系,l越小,异常响应越高,如图5b和5d;相反,则异常响应幅值较低,如图5c。依此类推,当异常位于巷道轴线上方时(即顶板),其异常响应特征与上述类似。

试验表明,瞬变电磁法对掘进前方不同距离不同方位低阻异常区响应敏感,可以利用此方法捕获巷道掘进前方可能存在的含水区域。但需要注意的是,室内试验采用铜球代替巷道掘进前方含水区域,二者相对周边介质保持相对低电阻率的相似特征,但在介质本身物理属性方面存在差异,铜球作为一种良导体介质,其导电能力明显强于水,因此,响应电动势曲线衰减慢,时间效应明显,另外由于异常模型距离接收回线近,从而造成在整个观测时间窗口上均有明显的异常响应特征,这与实际探测异常为水体时的响应存在一定的差异。
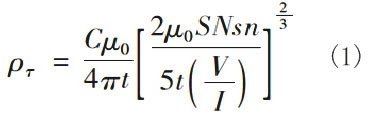
通过分析,利用电阻率计算式(1)计算视电阻率将使异常区域严重扩大,有较大的不妥之处。而实际探测时,通过实测多测道响应电动势值,然后计算为视电阻率值,分析并解释低阻异常是目前瞬变电磁探测的主要应用方式。与响应电动势多测道剖面相比,响应幅值高的区域,视电阻率值表现较低;相反,则表现较高。
通过分析,利用电阻率计算式(1)计算视电阻率将使异常区域严重扩大,有较大的不妥之处。而实际探测时,通过实测多测道响应电动势值,然后计算为视电阻率值,分析并解释低阻异常是目前瞬变电磁探测的主要应用方式。与响应电动势多测道剖面相比,响应幅值高的区域,视电阻率值表现较低;相反,则表现较高。

式中:ρτ为视电阻率,Ω•m;μ0为真空中的磁导率,H/m;S为单匝发射回线面积,s为单匝接收回线面积,㎡;N为发射线圈匝数,n为接收线圈匝数,匝;V为感应电动势,V;I为电流,A;V/I为接收的归一化二次感应电场值;t为二次场衰减观测时间,s;C为近似系数,由井下全空间、线圈特性及围岩电性共同决定。
2 探测应用
淮南煤田煤炭资源丰富,目前已开始向深部A组煤层开拓,其开采最重要的威胁是来自于煤层底板下的灰岩水害的影响,因此,必须做好开拓过程中的地质保障技术工作。
某矿在煤层开采前期巷道准备中,设计A组煤下施工底板放水巷,其水平距离1820m,设计标高-506~-560m。从东西2个方向同时施工,整体施工层位位于C13灰岩中,该层灰岩距上覆A1煤层底板法距为15m,A组煤层为强突出煤层。C13灰岩距下伏C3-33灰岩法距为8~10m,其中,C3-33灰岩为含水层。由于放水巷整体施工在C13灰岩中,巷道在掘进过程中受到底板C33灰岩水的严重威胁,其中西侧的12放1孔和12放2孔,C33灰岩水初始压力分别达到3.6MPa和3.8MPa。但由于灰岩富水性的不均一,若掘进巷道前方出现导水构造,将对掘进巷道造成严重危害,为保障巷道安全掘进,需对灰岩含水层水文地质条件做进一步的探查。试验中利用瞬变电磁法超前探测技术,对巷道前方及顶底板约100m范围内岩体电性分布情况进行探测预报,且对探测区域内可能存在的富水区段做出定性评价。
超前数据采集使用YCS40(A)型矿用瞬变电磁仪,按照扇形观测系统布置,在底抽巷道某段掘进工作面布置13个测点,以巷道工作面中心为原点,沿巷道左前方、正前方和右前方采集数据,共获得3个方向39个测深点。数据处理时以巷道掘进工作面为零点,巷道掘进方向为X轴正方向。为准确分析含水层位,在巷道立面探测3个方向,分别为顶板30°、掘进正前方和底板30°方向(图6)。这样可以获得巷道掘进工作面前方一定距离范围内的体积勘探效果,其中顶板方向可有效探测煤层直接顶板砂岩层位含水性,底板方向可包括C3-33灰岩含水层。
图7为2010年2月23日底板放水巷道瞬变电磁超前探测结果,其反映了探测面前方地质体的电性分布情况。图中黑色圈定的测道为异常响应。为加强对异常的空间分布及含水特征等分析,将电动势剖面按式(1)转换为视电阻率剖面,如图8所示。
2 探测应用
淮南煤田煤炭资源丰富,目前已开始向深部A组煤层开拓,其开采最重要的威胁是来自于煤层底板下的灰岩水害的影响,因此,必须做好开拓过程中的地质保障技术工作。
某矿在煤层开采前期巷道准备中,设计A组煤下施工底板放水巷,其水平距离1820m,设计标高-506~-560m。从东西2个方向同时施工,整体施工层位位于C13灰岩中,该层灰岩距上覆A1煤层底板法距为15m,A组煤层为强突出煤层。C13灰岩距下伏C3-33灰岩法距为8~10m,其中,C3-33灰岩为含水层。由于放水巷整体施工在C13灰岩中,巷道在掘进过程中受到底板C33灰岩水的严重威胁,其中西侧的12放1孔和12放2孔,C33灰岩水初始压力分别达到3.6MPa和3.8MPa。但由于灰岩富水性的不均一,若掘进巷道前方出现导水构造,将对掘进巷道造成严重危害,为保障巷道安全掘进,需对灰岩含水层水文地质条件做进一步的探查。试验中利用瞬变电磁法超前探测技术,对巷道前方及顶底板约100m范围内岩体电性分布情况进行探测预报,且对探测区域内可能存在的富水区段做出定性评价。
超前数据采集使用YCS40(A)型矿用瞬变电磁仪,按照扇形观测系统布置,在底抽巷道某段掘进工作面布置13个测点,以巷道工作面中心为原点,沿巷道左前方、正前方和右前方采集数据,共获得3个方向39个测深点。数据处理时以巷道掘进工作面为零点,巷道掘进方向为X轴正方向。为准确分析含水层位,在巷道立面探测3个方向,分别为顶板30°、掘进正前方和底板30°方向(图6)。这样可以获得巷道掘进工作面前方一定距离范围内的体积勘探效果,其中顶板方向可有效探测煤层直接顶板砂岩层位含水性,底板方向可包括C3-33灰岩含水层。
图7为2010年2月23日底板放水巷道瞬变电磁超前探测结果,其反映了探测面前方地质体的电性分布情况。图中黑色圈定的测道为异常响应。为加强对异常的空间分布及含水特征等分析,将电动势剖面按式(1)转换为视电阻率剖面,如图8所示。



通过该巷道掘进前期的探采验证对比认为,含水电阻率值界限为10Ω•m,高于该阻率值,判定为含水性差;相反,则存在含水的可能。由图8可见(l表示横向范围,d为纵向距离),掘进工作面前方顶板、正前方(掘进方向)和底板3个方向视电阻率值总体高于10Ω•m,解释探测当日掘进工作面前方10~90m岩层总体富水性差,但局部地段出现相对较低阻区域。其中顶板方向10~90m范围内视电阻率值总体分布在10Ω•m以上,岩层导电性差,不含水。掘进正前方与顶板探测结果相比,整体电阻率值下降,判定为巷道内岩性(砂泥岩)表现特征;但在掘进巷道正前方右侧60~75m段视电阻率值低于8Ω•m,同时,该异常区在前方底板方向视电阻率断面也有表现,因此,解释该异常区岩层发育裂隙,含水,且与底板灰岩含水层存在水力联系。此外,前方底板30°探测方向70~90m范围且偏巷道左侧,存在另一个低阻区,范围相对较大,有一定含水量。
巷道超前探测结果认为:沿巷道掘进方向,工作面前方60~75m段视电阻率表现较低,判断该段岩层裂隙发育,少量含水;与该范围对应的底板,在巷道两侧存在不同程度的含水区,应予以探放。其他探测区域视电阻率值表现相对较高,岩层富水性差。
依据测试结果,矿方组织钻孔探放,后经钻孔验证,在探测异常区底板C3-33层位岩溶发育,约放水760m³。经放水后,巷道在前方10~90m掘进过程中,未见异常水文地质情况。综上所述,巷道超前探测结果可靠,能为巷道安全掘进提供保障。
3 结论
1)对于深部煤层的开采,其地质条件复杂,安全影响因素多,利用室内物理模型试验相似模拟异常地质条件,对现场探测方法实施具有重要的指导作用。
2)通过多方位瞬变电磁法超前探测,能够确定异常水源的位置,为井下探放水提供有效的技术依据。
3)现场测试表明,瞬变电磁超前探测效果显著。实际探测巷道往往掘进距离较长,若采用瞬变电磁跟踪预报,总结和分析探测巷道异常响应特征,能够进一步校准计算参数,认识视电阻率与水量之间的关系,力求定性半定量分析异常地质特征。
参考文献
[1]薛国强,宋建平.线性规划法在瞬变电磁成像中的应用[J].西安交通大学学报,2002.
[2]刘树才,刘志新,姜志海.瞬变电磁法在煤矿采区水文勘探中的应用[J].中国矿业大学学报,2005.
[3]岳建华,姜志海.矿井瞬变电磁探测技术与应用[J].能源技术与管理,2006.
[4]于景邨,刘志新.用瞬变电磁法探查综放工作面顶板水体的研究[J].中国矿业大学学报,2007.
[5]姜志海.巷道掘进工作面瞬变电磁超前探测机理与技术研究[D].徐州:中国矿业大学,2008.
[6]谭代明.隧道超前探水全空间瞬变电磁理论及其应用研究[D].成都:西南交通大学,2009.
[7]胡博.矿井瞬变电磁场数值模拟的边界元法[D].徐州:中国矿业大学,2010.
[8]张平松,刘盛东,李培根,等.矿井瞬变电磁探测技术系统与应用[J].地球物理学进展,2011.
[9]刘志新,焦险峰.矿井富水体的瞬变电磁场物理模型实验研究[J].煤炭学报,2011,
[10]杨海燕.矿用多匝小回线源瞬变电磁场数值模拟与分布规律研究[D].徐州:中国矿业大学,2009.
[11]冯德旺,任锦彪,崔婷婷,等.煤矿井下电磁环境测试方法研究[J].中国安全科学学报,2010.
文章摘自:2012年9月《中国安全科学学报》
巷道超前探测结果认为:沿巷道掘进方向,工作面前方60~75m段视电阻率表现较低,判断该段岩层裂隙发育,少量含水;与该范围对应的底板,在巷道两侧存在不同程度的含水区,应予以探放。其他探测区域视电阻率值表现相对较高,岩层富水性差。
依据测试结果,矿方组织钻孔探放,后经钻孔验证,在探测异常区底板C3-33层位岩溶发育,约放水760m³。经放水后,巷道在前方10~90m掘进过程中,未见异常水文地质情况。综上所述,巷道超前探测结果可靠,能为巷道安全掘进提供保障。
3 结论
1)对于深部煤层的开采,其地质条件复杂,安全影响因素多,利用室内物理模型试验相似模拟异常地质条件,对现场探测方法实施具有重要的指导作用。
2)通过多方位瞬变电磁法超前探测,能够确定异常水源的位置,为井下探放水提供有效的技术依据。
3)现场测试表明,瞬变电磁超前探测效果显著。实际探测巷道往往掘进距离较长,若采用瞬变电磁跟踪预报,总结和分析探测巷道异常响应特征,能够进一步校准计算参数,认识视电阻率与水量之间的关系,力求定性半定量分析异常地质特征。
参考文献
[1]薛国强,宋建平.线性规划法在瞬变电磁成像中的应用[J].西安交通大学学报,2002.
[2]刘树才,刘志新,姜志海.瞬变电磁法在煤矿采区水文勘探中的应用[J].中国矿业大学学报,2005.
[3]岳建华,姜志海.矿井瞬变电磁探测技术与应用[J].能源技术与管理,2006.
[4]于景邨,刘志新.用瞬变电磁法探查综放工作面顶板水体的研究[J].中国矿业大学学报,2007.
[5]姜志海.巷道掘进工作面瞬变电磁超前探测机理与技术研究[D].徐州:中国矿业大学,2008.
[6]谭代明.隧道超前探水全空间瞬变电磁理论及其应用研究[D].成都:西南交通大学,2009.
[7]胡博.矿井瞬变电磁场数值模拟的边界元法[D].徐州:中国矿业大学,2010.
[8]张平松,刘盛东,李培根,等.矿井瞬变电磁探测技术系统与应用[J].地球物理学进展,2011.
[9]刘志新,焦险峰.矿井富水体的瞬变电磁场物理模型实验研究[J].煤炭学报,2011,
[10]杨海燕.矿用多匝小回线源瞬变电磁场数值模拟与分布规律研究[D].徐州:中国矿业大学,2009.
[11]冯德旺,任锦彪,崔婷婷,等.煤矿井下电磁环境测试方法研究[J].中国安全科学学报,2010.
文章摘自:2012年9月《中国安全科学学报》



下一篇