胡雄武,张平松,严家平,吴荣新,郭立全
(安徽理工大学地球与环境学院,安徽淮南 232001)
(安徽理工大学地球与环境学院,安徽淮南 232001)
摘要:受体积效应的影响,矿井巷道瞬变电磁超前探测时对异常区有不同程度的放大。为获得更为可靠的测试结果,在扇形超前观测系统的基础上,通过烟圈简化反演,并根据不同测点在巷道前方形成的烟圈交汇特征,推导视电阻率扩散叠加表达式及相关参数计算公式,实现了超前探测视电阻率扩散叠加解释方法,进一步提高对前方地质体的分辨能力。物理模型实验和现场探测实践表明,与常规视电阻率断面对比,视电阻率扩散叠加结果对异常体的判定效果优越性较强,对巷道掘进前方含水体的聚焦判定能力增加。
关键词:矿井瞬变电磁;超前探测;视电阻率扩散叠加;扇形观测系统;烟圈简化反演;交汇特征中图瞬变电磁方法因具有现场施工便捷、快速且不受接地条件约束、探测距离长等优点,已成为巷道掘进超前预测预报的主要方法之一[1-4]。其测试精度一直是最为关注的问题之一。多年来许多学者进行了不同程度的研究,分别在全空间瞬变场数值模拟[5-7]、现场工作方法[8-12]、视电阻率计算及成图[13-16]等方面取得了较大的进步,并取得了实际应用效果。但就电磁方法本身而言,受到体积效应的影响,往往导致现场探测异常区偏大,对钻探验证目标确定带来一定的影响。
为进一步提高矿井瞬变电磁超前探测的分辨能力,笔者结合地震勘探偏移叠加思想,基于扇形超前观测系统,根据瞬变场的烟圈扩散理论,对常规视电阻率进行烟圈简化反演,依据各观测点的测试角度差异,推导视电阻率的扩散叠加算法,获得其分布特征,力求进一步增强对探测前方含水异常区的空间判定能力,并通过物理模型实验及实例应用分析了该方法的有效性。
1 常规扇形探测技术
1.1 观测系统
受探测空间的限制,通常在巷道工作面布置不同角度的测点,构成扇形观测系统(图1)。该系统一般沿巷道掘进正前方向两侧布置13个测点,每个测点布置顶板、顺层和底板3个方向。实际探测时,可根据探测情况调整测点数及顶底板角度γ。

图1 扇形观测系统布置
1.2 数据处理
常规数据处理一般为2个步骤:先将实测感应电动势信号换算成全空间视电阻率值并进行时深转换;再将所得视电阻率值按照深度沿发射回线法向轴线布置,利用空间数据点的插值技术(如克里格等)生成视电阻率等值线图。其关键技术有2个。
(1)视电阻率计算(全区或晚期近似)[15]。
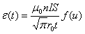
均匀全空间介质中水平圆回线发射框中心的感应电动势为



式中,μ0为真空磁导率;n为发射回线匝数;I为发射电流;S为接收线圈等效面积;r0为发射回线半径;t为观测时间;ρ为介质真电阻率;若回线是边长为b的方形时,

由式(3),得

联合式(1)~(4),采用二分搜索算法可计算出全区视电阻率值 。
当t→∞时,据式(1)~(3)可求晚期电阻率值为

式中,S0为发射回线面积,

(2)时深转换[12]。
计算某一测道深度时,设前一测道的时间和深度分别为ti-1和di-1,当前测道的时间为ti,视电阻率为ρsi,则该测道的深度为

式中,G(d)为全空间深度系数值。
由于该观测系统所得视电阻率拟断面图对资料的解释精度相对较高[8],已成为当前井下超前探测的主要观测方式。
2 视电阻率扩散叠加解释方法
2.1 烟圈简化反演
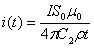
烟圈理论认为在均匀条件下,地下电流环的等效电流i(t)、半径R(t)及深度Z(t)分别为



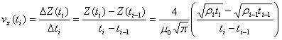
其中,C2=8/π-2=0.546 479;扩散角2θ=2arctan×[R(t)/Z(t)]≈94°。从式(9)可推导出垂向扩散速度,即

又

将式(11)代入式(10),并赋以全空间电阻率系数G′(ρ),整理得烟圈筒化反演电阻率ρr[17]为

式中,ρi,ρi-1为式(4)或式(5)计算的视电阻率值;ti,ti-1为相邻观测时间;ti(i-1)为ti和ti-1的几何平均值。
2.2 扩散叠加处理
依上分析,ρr提高了地质体的纵向分辨能力。对于横向分辨率,引用地震数据叠加处理思想,获得视电阻率在烟圈扩散范围内的叠加值,以此来加以改善。
(1) 激励场的超前分布特征。
圆形发射回线在空间中任意点处的激励磁场垂直分量[5]为

其中,l为空间任意点(x,y,z)至回线中心(x′,y′,z′)的距离,


图2 巷道工作面激励磁场的向前分布
(2)等效烟圈的扩散特征。
图3为烟圈的超前扩散图。M.N.Nabighian指出,电流环在回线中心引起的磁场为整个“环带”各个涡流层的总效应。而ρr等效为2个烟圈之间地质体的导电特性。若以图3中t3时刻为例,ρr近似为该时刻烟圈内的等效电阻率值。因烟圈是向前向外扩散,故ρr主要受其中心处地质体的导电能力主导,向其边缘扩展,这种主导能力逐渐减弱,这与从激励场的分布特征看感应场的分布特性一致。

图3 烟圈超前扩散示意
(3)视电阻率扩散叠加表达式。
实际在利用扇形观测系统超前探测时,测点之间因探测角度的差异,在探测前方必然形成烟圈的交汇,但受地质体的非均匀电阻率影响,烟圈在各方向的扩散速度及相同时刻的扩散深度、扩散半径不等。如图4所示,假如有9个测点,对探测前方进行网格剖分,则有测点5~8的t5~t8时刻烟圈在单元k中交汇,相应的ρr5(t5)~ρr8(t8)均与该单网格元内地质体的导电性相关。

图4 不同测点的电流环交汇示意
由此可见,若在单元内有U个测点的烟圈形成交汇,则单元内的视电阻率扩散叠加值可以表达为
(14)
式中, 为单元k的视电阻率扩散叠加值;ρrj(ti)为测点j在ti时刻计算的烟圈简化反演电阻率值;αj(ti)为对应ρrj(ti)的权值;U为交汇点数。
要实现所有网格单元内视电阻率扩散叠加计算,必须先求出每个测点所有时刻烟圈的扩散深度Z(t)和半径R(t),及其直径在空间的直线方程。
2.3 非均匀条件电流环扩散深度R(t)和Z(t)的计算
从式(8)可推出烟圈的扩散速度
(15)
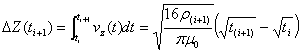
对于非均匀条件,联合式(10),(15),当t从ti延迟到ti+1时,烟圈半径和深度分别增大
(16)
(17)
在ti+1时同时考虑全空间深度系数G′(d),有
R(ti+1)=R(ti)+G′(d)ΔR(ti+1) (18)
Z(ti+1)=Z(ti)+G′(d)ΔZ(ti+1) (19)
当t→0时,从式(8)推导出R(t→0)=r0;将ρr代替式(16)~(19)中ρ参与计算,可递推求出全部观测时间窗口的烟圈扩散半径R(t)及扩散深度Z(t)。
如图5所示,假设某测点的探测角度为β,扩散角的一半θ=47°且tanθ=R(t)/Z(t),可以写出O1(x1,y1)和O3(x3,y3)点的坐标分别为
(20)
(21)

式中, 为单元k的视电阻率扩散叠加值;ρrj(ti)为测点j在ti时刻计算的烟圈简化反演电阻率值;αj(ti)为对应ρrj(ti)的权值;U为交汇点数。
要实现所有网格单元内视电阻率扩散叠加计算,必须先求出每个测点所有时刻烟圈的扩散深度Z(t)和半径R(t),及其直径在空间的直线方程。
2.3 非均匀条件电流环扩散深度R(t)和Z(t)的计算
从式(8)可推出烟圈的扩散速度

对于非均匀条件,联合式(10),(15),当t从ti延迟到ti+1时,烟圈半径和深度分别增大


在ti+1时同时考虑全空间深度系数G′(d),有
R(ti+1)=R(ti)+G′(d)ΔR(ti+1) (18)
Z(ti+1)=Z(ti)+G′(d)ΔZ(ti+1) (19)
当t→0时,从式(8)推导出R(t→0)=r0;将ρr代替式(16)~(19)中ρ参与计算,可递推求出全部观测时间窗口的烟圈扩散半径R(t)及扩散深度Z(t)。
如图5所示,假设某测点的探测角度为β,扩散角的一半θ=47°且tanθ=R(t)/Z(t),可以写出O1(x1,y1)和O3(x3,y3)点的坐标分别为



图5 某时刻烟圈直径方程求解
因此,该时刻烟圈直径的直线方程可以通过任意两点给出,以O1(x1,y1)和O3(x3,y3)点写为
(22)
且x和y分别在在x1和x3,y1和y3之间变化。至此,可以求出所有测点在不同时刻与空间网格的交汇点数U、网格单元中心至任意烟圈中心的偏移距离Dk。假设单元k中心得笛卡尔坐标为(xk,yk),则
。
2.4 权值α的计算
假设某一测点ti时刻烟圈对单元k的权值为
αk=hk(ti)/h0(ti) (23)
其中,hk(ti)为该测点ti时刻烟圈在单元k中心处引起的磁场;h0(ti)为同时刻烟圈中心处磁场。而任意时刻ti的烟圈可以被看成是一个新的发射回线,在回线直径上的电磁场垂直分量表达式可以从式(13)中取z=0求得
(24)
其中,I′=i(ti);S′=πR2(ti);r′=R(ti)。当Dk=0时,即h0(ti)=I′S′/(2πr′3)。对式(23)重新整理,得
(25)
图6表达了不同扩散半径R(t)时,α随Dk变化的关系。从图6可见,以Dk=0为中心,随Dk的增加或减小,α逐渐下降,并且当R(t)越大(即烟圈扩散越远时),α随Dk的增大,下降速度减缓。这种关系与激励场的分布特征及烟圈的扩散理论是一致的,说明α取值合理。

且x和y分别在在x1和x3,y1和y3之间变化。至此,可以求出所有测点在不同时刻与空间网格的交汇点数U、网格单元中心至任意烟圈中心的偏移距离Dk。假设单元k中心得笛卡尔坐标为(xk,yk),则

2.4 权值α的计算
假设某一测点ti时刻烟圈对单元k的权值为
αk=hk(ti)/h0(ti) (23)
其中,hk(ti)为该测点ti时刻烟圈在单元k中心处引起的磁场;h0(ti)为同时刻烟圈中心处磁场。而任意时刻ti的烟圈可以被看成是一个新的发射回线,在回线直径上的电磁场垂直分量表达式可以从式(13)中取z=0求得

其中,I′=i(ti);S′=πR2(ti);r′=R(ti)。当Dk=0时,即h0(ti)=I′S′/(2πr′3)。对式(23)重新整理,得

图6表达了不同扩散半径R(t)时,α随Dk变化的关系。从图6可见,以Dk=0为中心,随Dk的增加或减小,α逐渐下降,并且当R(t)越大(即烟圈扩散越远时),α随Dk的增大,下降速度减缓。这种关系与激励场的分布特征及烟圈的扩散理论是一致的,说明α取值合理。

图6 α与Dk的改变关系
至此,可以求解所有相关网格单元内的视电阻率扩散叠值。为使该方法的解释效果更为可靠,实际处理时,对交汇点数U≥2的网格进行计算,反之,网格不赋值,其值采用空间数据插值获得。
3 物理模型实验
3.1 数据采集平台与参数
(1)实验平台以室内水槽(长×宽×高:2.0m×1.4m×0.8m)为物理模型。在水槽的一端固定一个方形巷道,其截面边长20cm,长65cm(图7)。
3 物理模型实验
3.1 数据采集平台与参数
(1)实验平台以室内水槽(长×宽×高:2.0m×1.4m×0.8m)为物理模型。在水槽的一端固定一个方形巷道,其截面边长20cm,长65cm(图7)。

图7 水槽实验模型
(2)实验设备采用国内生产的YCS256型矿用瞬变电磁仪,选择采样频率为6.25Hz;采用中心回线装置,发射回线边长0.1m,匝数40;接收回线边长0.05m,匝数80。
(3)低阻体模型:模拟异常体为铜球,直径为0.1m,数据采集时,铜球中心分别布置在巷道正前方(0,0.4m,0)及0.15m,0.35m,0)。

图8 感应电动势剖面
3.2 数据采集、处理与分析
(1) 数据采集布置为扇形,正前方测点号为9,8~1号探测角(偏离中心角度)为-10°~-80°,10~17号探测角为10°~80°。图8(a),(b)分别为铜球中心在(0,40cm)和(15cm,35cm)的40测道感应电动势剖面(图中尾部测道已轻微平滑);图8(c)为40测道对应的观测时间。从图8(a)可以看出,铜球响应的角度为-50°~50°,靠近中心,响应越高;图8(b)中铜球响应的角度为-20°~60°,其中10°~40°响应高。
(2) 数据处理时,先计算常规全区视电阻率值;然后分别获得常规视电阻率断面(图9(a),(b))和视电阻率扩散叠加断面(图9(c),(d))。其中全空间系数G(ρ)=G′(ρ)=10000,G(d)=G′(d)=5;为便于比较,采用相同的色标。若以小于12Ω•m来划分低阻异常区,图9(c),(d)中低电阻率区域相对铜球的范围较大,而图9(c),(d)对铜球的反映相对收敛;当铜球位于(0,40cm)时,图9(a),(c)中异常区面积比约为2.8;当铜球位于(15cm,35cm)时,图9(b),(d)中异常区面积比约为2.33。由此可见,视电阻率扩散叠加结果对铜球的空间判定效果具有优越性。因铜球的响应时间长,对其后边界的判定略有不足。
4 实例应用
安徽某矿煤层底板放水掘进巷道位于
灰岩中,该层灰岩距上覆煤层底板法距为15m,
灰岩距
灰岩法距为8~12m,且
及其下
灰岩为含水层,据现有资料分析,该两层灰岩富水性不均一性强,其岩溶裂隙发育且含水。从已有巷道掘进情况来看,断层构造等地质异常相对发育,易导通底板
和
灰岩水。为保障巷道安全掘进,采用瞬变电磁超前探测含水区。
(1) 数据采集布置为扇形,正前方测点号为9,8~1号探测角(偏离中心角度)为-10°~-80°,10~17号探测角为10°~80°。图8(a),(b)分别为铜球中心在(0,40cm)和(15cm,35cm)的40测道感应电动势剖面(图中尾部测道已轻微平滑);图8(c)为40测道对应的观测时间。从图8(a)可以看出,铜球响应的角度为-50°~50°,靠近中心,响应越高;图8(b)中铜球响应的角度为-20°~60°,其中10°~40°响应高。
(2) 数据处理时,先计算常规全区视电阻率值;然后分别获得常规视电阻率断面(图9(a),(b))和视电阻率扩散叠加断面(图9(c),(d))。其中全空间系数G(ρ)=G′(ρ)=10000,G(d)=G′(d)=5;为便于比较,采用相同的色标。若以小于12Ω•m来划分低阻异常区,图9(c),(d)中低电阻率区域相对铜球的范围较大,而图9(c),(d)对铜球的反映相对收敛;当铜球位于(0,40cm)时,图9(a),(c)中异常区面积比约为2.8;当铜球位于(15cm,35cm)时,图9(b),(d)中异常区面积比约为2.33。由此可见,视电阻率扩散叠加结果对铜球的空间判定效果具有优越性。因铜球的响应时间长,对其后边界的判定略有不足。
4 实例应用
安徽某矿煤层底板放水掘进巷道位于








图9 常规视电阻率与视电阻率扩散叠加结果对比
根据现场条件,在掘进工作面布置扇形观测系统,其中测点方位、点数与图1一致,现场测试底板方向的断面,其俯角γ=20°。
按照该巷道以往探测经验,数据处理时取G(ρ)=G′(ρ)=10000,G(d)=G′(d)=50,并以20Ω•m为含水判定标准。图10(a),(b)分别为巷道超前常规视电阻率和视电阻率扩散叠加断面。可见,图10(a)中巷道前方底板两侧10m范围有一长低阻带;而图10(b)中仅有一孤立低阻区,其范围较小。从地质角度分析,沿俯角20°探测时,其测深是穿层,
和
岩层之间夹有泥岩和
灰岩,不含水。因此,图10(a)的浅部低阻与地质条件不符。将图10(b)中低阻区域换算成垂直深度为17~24m,位于
和
含水灰岩层内,可解释为含水异常区。从电阻率值大小认为该区含水性不强。后期钻探揭露该区岩溶发育,少量含水,带有充填物。由此可见,视电阻率扩散叠加结果对异常区判定较好,增强了地质解释效果。
按照该巷道以往探测经验,数据处理时取G(ρ)=G′(ρ)=10000,G(d)=G′(d)=50,并以20Ω•m为含水判定标准。图10(a),(b)分别为巷道超前常规视电阻率和视电阻率扩散叠加断面。可见,图10(a)中巷道前方底板两侧10m范围有一长低阻带;而图10(b)中仅有一孤立低阻区,其范围较小。从地质角度分析,沿俯角20°探测时,其测深是穿层,






图10 实测瞬变电磁常规和视电阻率及其扩散叠加结果
5 结论
(1) 在扇形超前观测系统的基础上,通过烟圈简化反演,并根据不同测点的烟圈扩散交汇特征,推导了视电阻率的扩散叠加表达式,实现了超前探测视电阻率的扩散叠加解释方法。
(2) 通过物理模型实验分析,认为视电阻率扩散叠加结果较常规视电阻率结果对异常体的圈定更为准确:以12Ω•m为异常阈值,当异常体模型在模拟巷道右前方时,两者显示异常区域的面积比值约为1/2.3;而当异常体模型在模拟巷道正前方时,随参与交汇的测点数增多,比值降为1/2.8。
(3)现场应用结果表明,视电阻率扩散叠加解释方法对探测前方含水区的空间判定效果更好,增强了异常区含水性的判定能力。
本文实现视电阻率的二维扩散叠加,而实际探测时,在巷道工作面布置有3~4个扇形断面,分别沿巷道顶板、顺层、底板以及垂直断面等布置,构成了空间视电阻率分布体系,因此,该方法可向三维探测进一步延展,随数据点的增加,其效果将进一步得到提高。
参考文献:
[1] 占文峰,王 强,牛学超.采空区矿井瞬变电磁法探测技术[J].煤炭科学技术,2010,38(8):115-117.
[2] 刘振庆,于景邨,胡 兵,等.矿井瞬变电磁法在探查迎头前方构造中的应用[J].物探与化探,2011,35(1):140-142.
[3] 张 军,赵 莹,李 萍.矿井瞬变电磁法在超前探测中的应用研究[J].工程地球物理学报,2012,9(1):49-53.
[4] 李云波,李 好.矿井瞬变电磁法富水体超前探测原理及应用研究[J].矿业安全与环保,2013,40(2):69-72.
[5] 杨海燕.矿用多匝小回线源瞬变电磁场数值模拟与分布规律研究[D].徐州:中国矿业大学,2009.
[6] 孙玉国,谭代明.全空间效应下瞬变电磁法三维数值模拟[J].铁道工程学报,2010(3):76-80.
[7] 孟庆鑫,潘和平.井中磁源瞬变电磁三维时域有限差分数值模拟[J].中南大学学报(自然科学版),2013,44(2):649-655.
[8] 刘志新,岳建华,刘仰光.扇形探测技术在超前探测中的应用研究[J].中国矿业大学学报,2007,36(6):822-825.
[9] 姜志海,岳建华,刘树才.多匝重叠小回线装置形式的矿井瞬变电磁观测系统[J].煤炭学报,2007,32(11):1152-1156.
[10] 刘志新,刘树才,刘仰光.矿井富水体的瞬变电磁场物理模型实验研究[J].岩石力学与工程学报,2009,28(2):259-266.
[11] 孙怀凤,李术才,李 貅,等.隧道瞬变电磁多点阵列式探测方法研究[J].岩石力学与工程学报,2011,30(11):2225-2233.
[12] 张平松,李永盛,胡雄武.坑道掘进瞬变电磁超前探水技术应用分析[J].岩土力学,2012,33(9):2749-2753.
[13] 白登海,Maxwell A M,卢 健,等.时间域瞬变电磁法中心方式全程视电阻率的数值计算[J].地球物理学报,2003,46(7):697-704.
[14] 王华军.时间域瞬变电磁法全区视电阻率的平移算法[J].地球物理学报,2008,51(6):1936-1942.
[15] 杨海燕,邓居智,张 华,等.矿井瞬变电磁法全空间视电阻率解释方法研究[J].地球物理学报,2010,53(3):651-656.
[16] 杨海燕,岳建华.地下瞬变电磁法全区视电阻率核函数算法[J].中国矿业大学学报,2013,42(1):83-87.
[17] 蒋邦远.实用近区磁源瞬变电磁法勘探[M].北京:地质出版社,1998.
(1) 在扇形超前观测系统的基础上,通过烟圈简化反演,并根据不同测点的烟圈扩散交汇特征,推导了视电阻率的扩散叠加表达式,实现了超前探测视电阻率的扩散叠加解释方法。
(2) 通过物理模型实验分析,认为视电阻率扩散叠加结果较常规视电阻率结果对异常体的圈定更为准确:以12Ω•m为异常阈值,当异常体模型在模拟巷道右前方时,两者显示异常区域的面积比值约为1/2.3;而当异常体模型在模拟巷道正前方时,随参与交汇的测点数增多,比值降为1/2.8。
(3)现场应用结果表明,视电阻率扩散叠加解释方法对探测前方含水区的空间判定效果更好,增强了异常区含水性的判定能力。
本文实现视电阻率的二维扩散叠加,而实际探测时,在巷道工作面布置有3~4个扇形断面,分别沿巷道顶板、顺层、底板以及垂直断面等布置,构成了空间视电阻率分布体系,因此,该方法可向三维探测进一步延展,随数据点的增加,其效果将进一步得到提高。
参考文献:
[1] 占文峰,王 强,牛学超.采空区矿井瞬变电磁法探测技术[J].煤炭科学技术,2010,38(8):115-117.
[2] 刘振庆,于景邨,胡 兵,等.矿井瞬变电磁法在探查迎头前方构造中的应用[J].物探与化探,2011,35(1):140-142.
[3] 张 军,赵 莹,李 萍.矿井瞬变电磁法在超前探测中的应用研究[J].工程地球物理学报,2012,9(1):49-53.
[4] 李云波,李 好.矿井瞬变电磁法富水体超前探测原理及应用研究[J].矿业安全与环保,2013,40(2):69-72.
[5] 杨海燕.矿用多匝小回线源瞬变电磁场数值模拟与分布规律研究[D].徐州:中国矿业大学,2009.
[6] 孙玉国,谭代明.全空间效应下瞬变电磁法三维数值模拟[J].铁道工程学报,2010(3):76-80.
[7] 孟庆鑫,潘和平.井中磁源瞬变电磁三维时域有限差分数值模拟[J].中南大学学报(自然科学版),2013,44(2):649-655.
[8] 刘志新,岳建华,刘仰光.扇形探测技术在超前探测中的应用研究[J].中国矿业大学学报,2007,36(6):822-825.
[9] 姜志海,岳建华,刘树才.多匝重叠小回线装置形式的矿井瞬变电磁观测系统[J].煤炭学报,2007,32(11):1152-1156.
[10] 刘志新,刘树才,刘仰光.矿井富水体的瞬变电磁场物理模型实验研究[J].岩石力学与工程学报,2009,28(2):259-266.
[11] 孙怀凤,李术才,李 貅,等.隧道瞬变电磁多点阵列式探测方法研究[J].岩石力学与工程学报,2011,30(11):2225-2233.
[12] 张平松,李永盛,胡雄武.坑道掘进瞬变电磁超前探水技术应用分析[J].岩土力学,2012,33(9):2749-2753.
[13] 白登海,Maxwell A M,卢 健,等.时间域瞬变电磁法中心方式全程视电阻率的数值计算[J].地球物理学报,2003,46(7):697-704.
[14] 王华军.时间域瞬变电磁法全区视电阻率的平移算法[J].地球物理学报,2008,51(6):1936-1942.
[15] 杨海燕,邓居智,张 华,等.矿井瞬变电磁法全空间视电阻率解释方法研究[J].地球物理学报,2010,53(3):651-656.
[16] 杨海燕,岳建华.地下瞬变电磁法全区视电阻率核函数算法[J].中国矿业大学学报,2013,42(1):83-87.
[17] 蒋邦远.实用近区磁源瞬变电磁法勘探[M].北京:地质出版社,1998.
摘自《煤炭学报》2014年第39期