郭方1,李培根2,齐顺2,张宁3
(1.福建工程学院信息科学与工程学院,福建福州350108;
2.福州华虹智能科技开发有限公司,福建福州350001;
3.福建工程学院机械与汽车工程学院,福建福州350108)
(1.福建工程学院信息科学与工程学院,福建福州350108;
2.福州华虹智能科技开发有限公司,福建福州350001;
3.福建工程学院机械与汽车工程学院,福建福州350108)
摘 要:针对井下坑透探测过程中噪声对同一扇区内不同射线接收场强对初始场强求取结果影响大的问题,提出一种利用整个工作面接收的所有场强来求取初始场强的新思路,探索了测线长度分类对优化初始场强求取过程中的作用。首先将相同长度测线对应的接收场强分类,然后求出分类后每条测线对应的近似接收背景场强,并代入电磁波衰减公式组成方程组,最后利用最小二乘法求解出相应的初始场强和背景强度。理论仿真结果表明:此方法能很好地利用整个工作面所接收的场强,结果误差约5%,基本满足生产需要,对现场初始场强的求取具有一定指导作用。
关键词:坑透;初始场强;测线分类;背景场强;最小二乘法
0 引言
无线电磁波坑透技术(坑透法)是利用探测目标与周围介质之间的电性差异来研究确定目标体位置、形态、大小及物性参数的一种物探方法[1-4]。利用此技术,通过数据反演,方便了解综采工作面的复杂地质构造,从而为综采工作面内的异常区域做出判断[5-7]。在综采工作面探测数据反演成像过程中,发射端的初始场强对成像效果有重要影响。但因周边环境和仪器本身的干扰,初始场强难以确定。多年来,许多学者通过研究,总结出求取初始场强的一些方法[8-9]。但这些方法存在计算待定参数确定难,需现场额外测定场强分布,从而在应用上受到一定程度限制。基于此,笔者在已有研究结果的基础上,根据综采工作面测线分布特点和规律,提出一种新的求取初始场强的思路。由于1个综采工作面有很多条长度相同的测线,这些线并不全部经过异常点,一般情况下,只有很少的一部分经过异常点,而那些没经过异常点的测线接收场强就代表了综采工作面的背景接收值,因此可以根据这些测线端点的场强值分布,经过分类后,求出每条测线长度接近背景的接收值,然后代入电磁波衰减公式并组成方程组,最后通过最小二乘法进行方程组的求解。
1 坑透法原理
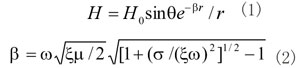
坑透法是以无线电磁波发射为基础,据电磁波传播理论,电磁波在均匀介质中的辐射场强随距离呈一定规律变化[10]。假设原点A在辐射源(天线轴)中心,在无限均匀、各向同性的介质中,观测点P到A的距离为r(图1),在此条件下求解导电介质中的波动方程,可求得P点电磁场强度H为:
关键词:坑透;初始场强;测线分类;背景场强;最小二乘法
0 引言
无线电磁波坑透技术(坑透法)是利用探测目标与周围介质之间的电性差异来研究确定目标体位置、形态、大小及物性参数的一种物探方法[1-4]。利用此技术,通过数据反演,方便了解综采工作面的复杂地质构造,从而为综采工作面内的异常区域做出判断[5-7]。在综采工作面探测数据反演成像过程中,发射端的初始场强对成像效果有重要影响。但因周边环境和仪器本身的干扰,初始场强难以确定。多年来,许多学者通过研究,总结出求取初始场强的一些方法[8-9]。但这些方法存在计算待定参数确定难,需现场额外测定场强分布,从而在应用上受到一定程度限制。基于此,笔者在已有研究结果的基础上,根据综采工作面测线分布特点和规律,提出一种新的求取初始场强的思路。由于1个综采工作面有很多条长度相同的测线,这些线并不全部经过异常点,一般情况下,只有很少的一部分经过异常点,而那些没经过异常点的测线接收场强就代表了综采工作面的背景接收值,因此可以根据这些测线端点的场强值分布,经过分类后,求出每条测线长度接近背景的接收值,然后代入电磁波衰减公式并组成方程组,最后通过最小二乘法进行方程组的求解。
1 坑透法原理
坑透法是以无线电磁波发射为基础,据电磁波传播理论,电磁波在均匀介质中的辐射场强随距离呈一定规律变化[10]。假设原点A在辐射源(天线轴)中心,在无限均匀、各向同性的介质中,观测点P到A的距离为r(图1),在此条件下求解导电介质中的波动方程,可求得P点电磁场强度H为:
式中:H0为初始场强,取决发射机功率及周围介质;θ为天线与观测方向夹角,取90°;ω为角频率;β为背景强度;ε为介电常数;μ为磁导率;σ为电导率。
图1 偶极子天线辐射场
当角频率w不变时,β=F(ε,μ,σ),即β是ε、μ、σ的函数。当电磁波穿越不同电性的煤岩层时,μ差别不大,所以ε、σ的改变会明显引起β与H的变化。因此,当电磁波在地下岩层中传播时,由于各种岩层电性(电阻率ρ和介电常数ε)的不同,从而导致对电磁波能量的吸收不同,于是根据这些不同岩性的吸收参数来判断工作面内的异常区。低阻岩层对电磁波具有较强的吸收作用,当波前进方向遇到断裂构造界面时,电磁波将在界面上产生反射和折射作用,也造成能量的损耗,致使接收巷道中的电磁波信号十分微弱甚至接收不到透射信号,形成所谓的透射异常(又称阴影异常),如图2所示。
图2 无线坑透接收场强示意
2 初始场强的一般确定方法
在式(1)中,r和每条测线的接收场强H是已知参数,θ可以通过调整天线从0°~90°,如果初始场强H0已知,则可通过式(2)求取背景强度β,进而进行数据反演。根据文献[11],目前确定初始场强主要有计算法、实测场强法和图解法[12]。
1)计算法。在计算法中,H0求算式为[13]
在式(1)中,r和每条测线的接收场强H是已知参数,θ可以通过调整天线从0°~90°,如果初始场强H0已知,则可通过式(2)求取背景强度β,进而进行数据反演。根据文献[11],目前确定初始场强主要有计算法、实测场强法和图解法[12]。
1)计算法。在计算法中,H0求算式为[13]
其中:I为天线电流波幅值;λ为介质中的波长;L为天线的有效高度;由于λ和L都为未知参数,测试起来比较困难,并且与实际结果相差较大,所以实际中一般用实测场强来求取H0。
2)实测场强法。对于多条测线,当θ=90°时第i条测线场强Hi可由式(1)得
2)实测场强法。对于多条测线,当θ=90°时第i条测线场强Hi可由式(1)得
则其相邻测线的接收场强可写为
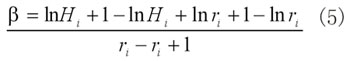
由式(3)和式(4)可得
求出β后,可根据式(3)或式(4)求出H0。
3)图解法。图解法是通过测试距离发射点不同长度测点的接收场强值,然后画出lnHr与r关系曲线,并通过线性拟合求出β和H0。
3 测线分类求取初始场强
文献[11]提供了求取初始场强的一般理论依据,但是在实际情况下,综采工作面宽度大都在100m左右,测线采用扇形结构[12],即一点发射,多点接收,各接收点的间距约10m,一般接收点为11点(图3)。因此各测线长度差别不是很大,从而使得理论接收场强值差别很小。在实际中,由于干扰的存在,使用式(5)求出的初始场强和背景β值与实际相差很大。于是,其实际坑透过程中,通常对初始场强和背景β值进行人为确定,所以对工作人员的经验要求很高,不利于仪器的推广使用。
3)图解法。图解法是通过测试距离发射点不同长度测点的接收场强值,然后画出lnHr与r关系曲线,并通过线性拟合求出β和H0。
3 测线分类求取初始场强
文献[11]提供了求取初始场强的一般理论依据,但是在实际情况下,综采工作面宽度大都在100m左右,测线采用扇形结构[12],即一点发射,多点接收,各接收点的间距约10m,一般接收点为11点(图3)。因此各测线长度差别不是很大,从而使得理论接收场强值差别很小。在实际中,由于干扰的存在,使用式(5)求出的初始场强和背景β值与实际相差很大。于是,其实际坑透过程中,通常对初始场强和背景β值进行人为确定,所以对工作人员的经验要求很高,不利于仪器的推广使用。
图3 无线坑透测线分布
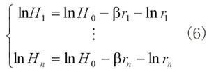
无线坑透过程中,1个工作面通常有很多个扇形测区,每个测区一般采用对称分布,即1个测区有2条长度相同的测线。对于n个测点的综采工作面,就会有2n个相同的测线。理论上这2n条测线的接收值应该相等,但实际上,由于测试误差和异常区的影响,这些测线的值并不完全相等。在1个工作面内,异常区只是其中一小部分,所以接收场强值相差很小的大部分数据可视为综采工作面的背景接收值。对所有测线进行相同长度分类,找出对应长度测线的背景接收值,然后代入式(3),列出方程组
这是一个超定型方程组,可根据最小二乘法解出对应的β和H0。
4 仿真模型分析
4 仿真模型分析
图5 仿真接收场强分布
为测试算法效果,构造位于如图4所示的坑透法探测工作面,建立均匀介质中的异常构造几何模型,并取背景强度为0.03dB/m,异常区背景强度为0.05dB/m。
取初始场强100dB,发射点间距50m,接收点间距10m,按照图3分布测试形式根据式(3)计算接收场强。为模拟实际现场环境,计算后的接收场强值加了幅值为0.5dB的均匀白噪声。加入噪声后的工作面巷道接收场强分布如图5所示。
取初始场强100dB,发射点间距50m,接收点间距10m,按照图3分布测试形式根据式(3)计算接收场强。为模拟实际现场环境,计算后的接收场强值加了幅值为0.5dB的均匀白噪声。加入噪声后的工作面巷道接收场强分布如图5所示。
图6 各测线接收仿真场强值
在整个工作面共有长度100.00、100.50、101.98、104.40、107.70、111.80m的6种测线,分类后的各测线接收场强如图6所示。分别对这6种测线取平均后得到6个场强值作为这6种测线的背景接收场强值。然后代入式(6)由最小二乘法求得β=0.026dB/m和H0=95.62dB。
5 结论
根据现场无线坑透特点,对不同长度测线进行了分类,并根据每条相同测线多个接收值得到一个接收背景的近似值,然后代入相应的电磁波场强衰减公式,利用最小二乘法解出相应综采工作面整体的背景强度和初始场强,为解决利用相邻测线求取初始场强时噪声敏感问题提供了一种新的思路。理论分析说明,利用综采工作面相同测线的多个接收场强值,有助于获得对应测线接近的背景接收场强,能够为初始场强的求取提供更多的信息,从而使反演成图的效果与实际更为接近。
参考文献:
[1]汤友谊,陈江峰,彭立世.无线电波坑道透视构造煤的研究[J].煤炭学报,2002,27(3):254-258.
[2]陈唱彦,沈小克,素兆锋,等.电磁波层析成像技术在复杂地质边坡工程勘察中的应用研究[J].地球物理学进展,2012,27(2):796-803.
[3]刘焕新,王利宏,刘树才.坑透高精度CT层析成像测量方法试验研究[J].山东煤炭科技,2010(1):103-105.
[4]刘加利.坑透技术在复杂地质条件下的应用[J].河北煤炭,2005(4):39-40.
[5]侯恩科,郝珠成,王朝辉,等.坑透层析成像技术在金矿定位预测中的应用[J].地质与勘探,2001,37(4):43-45.
[6]周长友.许沟煤矿12080工作面物探结果的验证与分析[J].山东煤炭科技,2012(4):118-119.
[7]王均双,薄夫利,马冲.坑透CT成像技术在工作面地质构造探测中的应用[J].煤炭科学技术,2008,36(10):93-96.
[8]张磊.复杂地质条件下回采工作面隐伏构造长距离探测[J].矿业安全与环保,2012,39(4):71-73.
[9]王琦.实测坑透资料的层析成像特殊处理效果[J].煤田地质与勘探,2001,29(4):55-57.
[10]冀学宏.论影响无线电波坑透的干扰因素及排除方法[J].西山科技,2011(6):18-22.
[11]肖玉林.煤矿综采工作面无线电波透视技术研究[D].淮南:安徽理工大学,2010.
[12]郭峰,刘跃丽.坑透探测在实际中的应用与研究[J].煤炭技术,2003,22(2):86-87.
[13]刘天放.矿井地球物理探测[M].北京:煤炭工业出版社,1993.
文章摘自:
《煤炭科学技术》2013年第12期第41卷
5 结论
根据现场无线坑透特点,对不同长度测线进行了分类,并根据每条相同测线多个接收值得到一个接收背景的近似值,然后代入相应的电磁波场强衰减公式,利用最小二乘法解出相应综采工作面整体的背景强度和初始场强,为解决利用相邻测线求取初始场强时噪声敏感问题提供了一种新的思路。理论分析说明,利用综采工作面相同测线的多个接收场强值,有助于获得对应测线接近的背景接收场强,能够为初始场强的求取提供更多的信息,从而使反演成图的效果与实际更为接近。
参考文献:
[1]汤友谊,陈江峰,彭立世.无线电波坑道透视构造煤的研究[J].煤炭学报,2002,27(3):254-258.
[2]陈唱彦,沈小克,素兆锋,等.电磁波层析成像技术在复杂地质边坡工程勘察中的应用研究[J].地球物理学进展,2012,27(2):796-803.
[3]刘焕新,王利宏,刘树才.坑透高精度CT层析成像测量方法试验研究[J].山东煤炭科技,2010(1):103-105.
[4]刘加利.坑透技术在复杂地质条件下的应用[J].河北煤炭,2005(4):39-40.
[5]侯恩科,郝珠成,王朝辉,等.坑透层析成像技术在金矿定位预测中的应用[J].地质与勘探,2001,37(4):43-45.
[6]周长友.许沟煤矿12080工作面物探结果的验证与分析[J].山东煤炭科技,2012(4):118-119.
[7]王均双,薄夫利,马冲.坑透CT成像技术在工作面地质构造探测中的应用[J].煤炭科学技术,2008,36(10):93-96.
[8]张磊.复杂地质条件下回采工作面隐伏构造长距离探测[J].矿业安全与环保,2012,39(4):71-73.
[9]王琦.实测坑透资料的层析成像特殊处理效果[J].煤田地质与勘探,2001,29(4):55-57.
[10]冀学宏.论影响无线电波坑透的干扰因素及排除方法[J].西山科技,2011(6):18-22.
[11]肖玉林.煤矿综采工作面无线电波透视技术研究[D].淮南:安徽理工大学,2010.
[12]郭峰,刘跃丽.坑透探测在实际中的应用与研究[J].煤炭技术,2003,22(2):86-87.
[13]刘天放.矿井地球物理探测[M].北京:煤炭工业出版社,1993.
文章摘自:
《煤炭科学技术》2013年第12期第41卷



下一篇