胡雄武1,张平松1,吴荣新1,李培根2,付茂如1
(1.安徽理工大学地球与环境学院,安徽淮南232001;2.福州华虹智能科技开发有限公司,福建福州350004)
(1.安徽理工大学地球与环境学院,安徽淮南232001;2.福州华虹智能科技开发有限公司,福建福州350004)
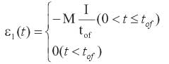
摘 要:考虑到接收系统过渡过程及电流关断时间,通过对接收系统冲激响应函数、一次电动势及二次全程感应电动势理论公式的推导,还原了接收瞬变电磁全程响应信号,与理论全程数据的对比分析表明,电流关断时间和接收系统过渡过程给早、中延时段瞬变场造成严重的畸变,导致数据解析不能有效识别坑道前方近距离地电信息。为评价畸变段数据对坑道超前探水的影响,建立坑道前方1:1定量水仓模型,通过在掘进工作面连续观测100m³以内水量变化情况下的瞬变场响应数据,分析并获得了含水模型的瞬变异常响应特征,确定其响应时窗处于畸变数据段,进一步指出现有坑道超前探水技术仍需不断改进,以提高超前预测精度。
关 键 词:瞬变电磁;坑道超前探水;全程响应;畸变数据;近距离地电信息;1:1 含水模型
0 引言
全空间瞬变电磁法已成为井巷、隧道等坑道掘进超前水害探测的主要技术之一[1-5]。现阶段该技术存在两个不可忽略的问题:①瞬变电磁仪器工作时存在约几百微秒的电流关断时间,导致测试数据受到一次电动势(emf)干扰,且改变了瞬变场源的激励方式;②多匝接收回线受其分布电容和电感影响,实测数据存在明显的过度过程。因以上两个问题,实测数据在早、中延时段存在明显的畸变,现场应用一般舍弃该畸变段数据,仅解析晚延时段数据,造成测试结果不能有效识别坑道超前近距离地电信息。为提高该方法的勘探精度,近些年来,许多学者对全程二次场信息提取及解释进行了大量的研究[6-13],一定程度上改善了早、中延时段数据的可靠性及解析精度。本文从接收系统过渡过程及考虑电流关断时间出发,通过相关公式推导,还原并分析理论全程瞬变电磁场的响应特征,力求为坑道瞬变电磁测试数据提供系统的认识。通过在实际坑道前方建立1:1定量水仓模型,连续观测模型的瞬变场响应数据,分析坑道前方水体的响应特点,获得水体响应数据与畸变数据的特征关系,进一步为现场探测提供指导。
1 坑道瞬变电磁全程响应分析
1.1 接收线圈的系统响应状态
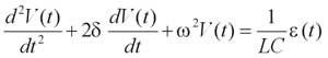
瞬变电磁接收系统的响应特征方程可表示为[7]
(1)
式中V(t)为输出电动势;δ=(rC+L/R)/( 2LC);r为接收线圈内阻;R为接收端外电路总电阻;L为接收线圈电感;C为接收线圈分布电容;ω为谐振频率,
。
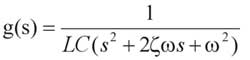
对式(1)做Laplace变换,得接收系统传输函数:
(2)
式中,s为复变量,s=i2πf系数,f为响应频率,ξ为阻尼系数,ξ=δ/ω。
由式(2)做逆Laplace变换,可得接收系统系统冲激响应函数为
(3)
式中,
。
由线性时不变理论可知,理论信号ε(t)输入接收线圈后的输出电动势V(t)为ε(t)与g(t)的卷积,即[14] V(t)=g(t)×ε(t) (4)
因此,据式(4)便可求出ε(t)对应接收的V(t)。由于δ与ω的比值不同,接收系统分为欠阻尼(ξ<1),临界阻尼(ξ=1)和过阻尼(ξ>1)3种状态,不同状态的接收系统对信号的响应不同,其中,当ξ=1时,接收信号质量较好,但为防止系统ξ<1,实际一般调整至微过阻尼状态,可通过改变R来实现[7]。
1.2 一次电动势分析
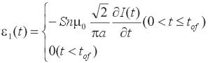
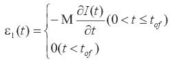
令电流关断起始时间为0,关断时间为tof,根据Faraday电磁感应定律,坑道瞬变电磁中心回线装置条件下,回线中心点的一次电动势可表示为[15]
(5)
式中t为瞬变延迟时间;s为接收线圈等效面积;n为发射回线匝数;a为发射回线边长的一半;I(t)为电流关断函数;μ0为真空磁导率。
由于接收线圈分布于发射线圈中心区域,式(5)仅表示中心点,不能代替整个接收线圈内的一次电动势,因此,将式(5)改写成
(6)
以发射电流满足线性关断为例,有
I(t)=I(1-t/tof)(t≤tof),(7)式中,I为发射电流幅值。
则线性电流关断条件下,式(6)可简化为
(8)
关 键 词:瞬变电磁;坑道超前探水;全程响应;畸变数据;近距离地电信息;1:1 含水模型
0 引言
全空间瞬变电磁法已成为井巷、隧道等坑道掘进超前水害探测的主要技术之一[1-5]。现阶段该技术存在两个不可忽略的问题:①瞬变电磁仪器工作时存在约几百微秒的电流关断时间,导致测试数据受到一次电动势(emf)干扰,且改变了瞬变场源的激励方式;②多匝接收回线受其分布电容和电感影响,实测数据存在明显的过度过程。因以上两个问题,实测数据在早、中延时段存在明显的畸变,现场应用一般舍弃该畸变段数据,仅解析晚延时段数据,造成测试结果不能有效识别坑道超前近距离地电信息。为提高该方法的勘探精度,近些年来,许多学者对全程二次场信息提取及解释进行了大量的研究[6-13],一定程度上改善了早、中延时段数据的可靠性及解析精度。本文从接收系统过渡过程及考虑电流关断时间出发,通过相关公式推导,还原并分析理论全程瞬变电磁场的响应特征,力求为坑道瞬变电磁测试数据提供系统的认识。通过在实际坑道前方建立1:1定量水仓模型,连续观测模型的瞬变场响应数据,分析坑道前方水体的响应特点,获得水体响应数据与畸变数据的特征关系,进一步为现场探测提供指导。
1 坑道瞬变电磁全程响应分析
1.1 接收线圈的系统响应状态
瞬变电磁接收系统的响应特征方程可表示为[7]

式中V(t)为输出电动势;δ=(rC+L/R)/( 2LC);r为接收线圈内阻;R为接收端外电路总电阻;L为接收线圈电感;C为接收线圈分布电容;ω为谐振频率,

对式(1)做Laplace变换,得接收系统传输函数:

式中,s为复变量,s=i2πf系数,f为响应频率,ξ为阻尼系数,ξ=δ/ω。
由式(2)做逆Laplace变换,可得接收系统系统冲激响应函数为

式中,

由线性时不变理论可知,理论信号ε(t)输入接收线圈后的输出电动势V(t)为ε(t)与g(t)的卷积,即[14] V(t)=g(t)×ε(t) (4)
因此,据式(4)便可求出ε(t)对应接收的V(t)。由于δ与ω的比值不同,接收系统分为欠阻尼(ξ<1),临界阻尼(ξ=1)和过阻尼(ξ>1)3种状态,不同状态的接收系统对信号的响应不同,其中,当ξ=1时,接收信号质量较好,但为防止系统ξ<1,实际一般调整至微过阻尼状态,可通过改变R来实现[7]。
1.2 一次电动势分析
令电流关断起始时间为0,关断时间为tof,根据Faraday电磁感应定律,坑道瞬变电磁中心回线装置条件下,回线中心点的一次电动势可表示为[15]

式中t为瞬变延迟时间;s为接收线圈等效面积;n为发射回线匝数;a为发射回线边长的一半;I(t)为电流关断函数;μ0为真空磁导率。
由于接收线圈分布于发射线圈中心区域,式(5)仅表示中心点,不能代替整个接收线圈内的一次电动势,因此,将式(5)改写成

以发射电流满足线性关断为例,有
I(t)=I(1-t/tof)(t≤tof),(7)式中,I为发射电流幅值。
则线性电流关断条件下,式(6)可简化为


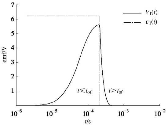
图1 接收线圈中一次感应电动势输入输出关系
假设tof=0.2ms,S=10㎡,n=4匝,a=1m,I=2.5A,M=0.0005H,接收系统的阻尼系数ξ=1.05,分布电容C=0.000001F,电感L=0.001H,内阻r=1.5Ω;外电路电阻R可根据ξ的关系求出。将上述参数分别代入式(3)和(8),依据式(4)可求出一次电动势ε1(t)及V1(t)。如图1所示,理论ε1(t)在关断时间以前为一恒值,关断时间后为0,而V1(t)分成上升沿(t≤tof)和下降沿(t>tof)两段,由此可见,ε1(t)不仅对电流关断前测试数据有干扰,还对电流关断后测试数据有一定的影响。
1.3 二次感应电动势分析
均匀全空间介质中,坑道方形发射回线中心点的阶跃二次磁场表达式为[12]
(9)
式中,φ(u)为误差函数,
,ρ为大地电阻率。
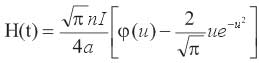
依据Duhamel积分式,可以得到任意输入作用下输出的过渡过程与脉冲过渡函数之间的关系,即非阶跃二次磁场表达式为[16]。
(t>0) (10)
依据式(10),可求出全空间二次感应电动势为
(11)
联合式(7)、(9)、(10)和(11),可推导电流线性关断时,全空间瞬变电磁感应电动势的表达式:感应段(0<t≤tof):
(12a)
衰减段(t>tof):

由式(12a),(12b)可获得电流线性关断条件下全程二次感应电动势ε2(t)。图2给出了ρ分别为10Ω.m和1Ω.m的感应电动势曲线,从中可见,感应电动势在感应段εi1(t)和衰减段εa2(t)极性相反,感应段的响应值比衰减段大,且电阻率越低,其响应幅值越大。
1.3 二次感应电动势分析
均匀全空间介质中,坑道方形发射回线中心点的阶跃二次磁场表达式为[12]

式中,φ(u)为误差函数,


依据Duhamel积分式,可以得到任意输入作用下输出的过渡过程与脉冲过渡函数之间的关系,即非阶跃二次磁场表达式为[16]。

依据式(10),可求出全空间二次感应电动势为

联合式(7)、(9)、(10)和(11),可推导电流线性关断时,全空间瞬变电磁感应电动势的表达式:感应段(0<t≤tof):

衰减段(t>tof):

由式(12a),(12b)可获得电流线性关断条件下全程二次感应电动势ε2(t)。图2给出了ρ分别为10Ω.m和1Ω.m的感应电动势曲线,从中可见,感应电动势在感应段εi1(t)和衰减段εa2(t)极性相反,感应段的响应值比衰减段大,且电阻率越低,其响应幅值越大。

图2 理论二次感应电动势响应
图3给出了ρ为10Ω.m情况下。ε2(t)经接收系统的输出曲线V2(t)。可见,εi2(t)不仅存在与感应段,而且且因接收系统的过渡过程影响,信号延仲至衰减段;εa2(t)同样因受接收系统过渡过程影响,前期部分信号与理论信号存在明显差异,本次算例中,约至延时1ms以后,理论与实测信号一致。

图3 接收线圈中二次电动势输入输出关系
1.4 全程瞬变电磁场分析
坑道瞬变电磁超前探测时,接收线圈理论的输入全程瞬变响应信号可近似为
ε(t)= ε1(t)+ ε2(t) (13)
因此,将式(13)代入式(4)中,便可获得实际全程瞬变电磁响应V(t)。
图4给出了电阻率ρ为10Ω.m情况下理论全程瞬变响应ε(t)与实际全程瞬变响应V(t)的曲线对比。从中可见,由于电流关断时间和接收系统过渡过程的综合影响,在1ms以前,V(t)与ε(t)曲线差异大,实际探测一般针对关断时间tof以后的瞬变场数据进行处理解析,从而忽视了早、中延时段瞬变场数据所携带的地电信息,给坑道超前探水带来不利影响。
2 坑道超前1:1含水模型试验研究
2.1 水仓模型构建
试验坑道顶标高175m,截面宽2m,高2m,两帮为泥岩,较平整,顶、底板分别为砂岩和粉砂岩,属于二叠系下统童子岩组地层,海陆交互相含煤沉积。如图5所示,在试验掘进坑道前方25m处布置水仓模型,分内外两仓,内仓为长方体,截面为正方形,边长为5m,储水60m³;外仓截面为长方形,宽1.2m,长15m,储水40m³,内外两仓共储水100m³;水仓整体沿坑道走向布置,走向长度20m,分布在坑道前方25~45m之间。
坑道瞬变电磁超前探测时,接收线圈理论的输入全程瞬变响应信号可近似为
ε(t)= ε1(t)+ ε2(t) (13)
因此,将式(13)代入式(4)中,便可获得实际全程瞬变电磁响应V(t)。
图4给出了电阻率ρ为10Ω.m情况下理论全程瞬变响应ε(t)与实际全程瞬变响应V(t)的曲线对比。从中可见,由于电流关断时间和接收系统过渡过程的综合影响,在1ms以前,V(t)与ε(t)曲线差异大,实际探测一般针对关断时间tof以后的瞬变场数据进行处理解析,从而忽视了早、中延时段瞬变场数据所携带的地电信息,给坑道超前探水带来不利影响。
2 坑道超前1:1含水模型试验研究
2.1 水仓模型构建
试验坑道顶标高175m,截面宽2m,高2m,两帮为泥岩,较平整,顶、底板分别为砂岩和粉砂岩,属于二叠系下统童子岩组地层,海陆交互相含煤沉积。如图5所示,在试验掘进坑道前方25m处布置水仓模型,分内外两仓,内仓为长方体,截面为正方形,边长为5m,储水60m³;外仓截面为长方形,宽1.2m,长15m,储水40m³,内外两仓共储水100m³;水仓整体沿坑道走向布置,走向长度20m,分布在坑道前方25~45m之间。

图4 接收线圈中全程电动势输入输出关系

图5 坑道前方水仓模型布置图
2.2 数据采集
(1) 仪器设备及采集参数
采用本安型YCS256瞬变电磁仪,配套中心回线装置,其中发射回线10匝,边长2m,接收回线20匝,边长1.2m,发射电流为2.5A,供电脉冲为双极性矩形波,测试频率为6.25Hz,仪器采集电压上限为2.5V;另据试验检测,当前装置系统条件下,仪器工作时发射电流的关断时间为0.222ms,接收系统处于微过阻尼状态。由于本次试验模型距离掘进工作面较近,为使水仓响应信号落入有效观测时间窗口,试验前对水仓进行了大量测试,通过测试数据对比分析,确定对现有仪器原有观测时间窗口进行合理调整,设置为80个时间窗口,控制时窗范围为0.065~15.92ms,相邻窗口基本呈对数等间隔分布。
(2)观测方式
将中心回线紧贴在坑道掘进工作面上并固定,使回线法线与水仓共线,达到最强的激励状态。然后给水仓注水,使其满仓100m³,数据采集时,设计水仓内水量在1h放完,放水期间,通过阀门控制放水速度,期间按12min时间间隔采集一组数据,每组数据采集5次,取平均值作为该时刻观测的瞬变场数据,当组数据采集时,关闭阀门,待该组数据采集完毕,阀门打开,继续放水。整个放水期间共采集6组数据,对应水仓水量分别为100、80、60、40、20、0m³通过数据对比,分析不同水量条件下瞬变电磁场响应的变化情况。
2.3 数据分析与讨论
从实测数据分析,由于晚延时段感应电动势受电磁噪声影响大,信噪比差,故仅选择前面40个观测窗口感应电动势作为水仓内水体响应的分析数据。
图6为水仓内不同水量情况下的实测感应电动势剖面,图中横坐标q代表水仓内的水量。由于在观测过程中,装置回线及观测参数等均不变,唯一改变的是水仓内的水量,因此,可以认为感应电动势发生变化是由水量改变而引起。从图6中横向变化可见,随着水量的增加,前期测道感应电动势逐渐下降,尾部测道感应电动势有逐渐上升趋势,表明瞬变场响应因水仓内水量变化而发生改变,进一步说明水受回线源激励影响,产生了瞬变场信号。
(1) 仪器设备及采集参数
采用本安型YCS256瞬变电磁仪,配套中心回线装置,其中发射回线10匝,边长2m,接收回线20匝,边长1.2m,发射电流为2.5A,供电脉冲为双极性矩形波,测试频率为6.25Hz,仪器采集电压上限为2.5V;另据试验检测,当前装置系统条件下,仪器工作时发射电流的关断时间为0.222ms,接收系统处于微过阻尼状态。由于本次试验模型距离掘进工作面较近,为使水仓响应信号落入有效观测时间窗口,试验前对水仓进行了大量测试,通过测试数据对比分析,确定对现有仪器原有观测时间窗口进行合理调整,设置为80个时间窗口,控制时窗范围为0.065~15.92ms,相邻窗口基本呈对数等间隔分布。
(2)观测方式
将中心回线紧贴在坑道掘进工作面上并固定,使回线法线与水仓共线,达到最强的激励状态。然后给水仓注水,使其满仓100m³,数据采集时,设计水仓内水量在1h放完,放水期间,通过阀门控制放水速度,期间按12min时间间隔采集一组数据,每组数据采集5次,取平均值作为该时刻观测的瞬变场数据,当组数据采集时,关闭阀门,待该组数据采集完毕,阀门打开,继续放水。整个放水期间共采集6组数据,对应水仓水量分别为100、80、60、40、20、0m³通过数据对比,分析不同水量条件下瞬变电磁场响应的变化情况。
2.3 数据分析与讨论
从实测数据分析,由于晚延时段感应电动势受电磁噪声影响大,信噪比差,故仅选择前面40个观测窗口感应电动势作为水仓内水体响应的分析数据。
图6为水仓内不同水量情况下的实测感应电动势剖面,图中横坐标q代表水仓内的水量。由于在观测过程中,装置回线及观测参数等均不变,唯一改变的是水仓内的水量,因此,可以认为感应电动势发生变化是由水量改变而引起。从图6中横向变化可见,随着水量的增加,前期测道感应电动势逐渐下降,尾部测道感应电动势有逐渐上升趋势,表明瞬变场响应因水仓内水量变化而发生改变,进一步说明水受回线源激励影响,产生了瞬变场信号。

图6 不同水量下的感应电动势剖面
由于观测时间内包含电流关断时间前后两个部分的数据,即感应段和衰减段数据,根据前文对理论全程数据的分析,感应段与衰减段数据的衰减特征不同,因此,本文分别对感应段和衰减段数据进行讨论。
图7(a),(b)分别给出了水仓内不同水量情况下的实测感应电动曲线。从图7(a)可见,水仓内无水时,实测感应电动势幅值最高,如在t=0.067ms时刻,该幅值大小约为0.4936V;随着水量的逐渐增加,感应电动势幅值逐渐降低,当水仓水量为100m³时,实测感应电动势幅值最低,同样t=0.067ms时刻为例,感应电动势幅值约为0.4798V。与感应段数据分布特征相反,水仓内无水时,衰减段(图7(b))实测感应电动势幅值最低,如在t=0.248ms时刻,其幅值约为0.0956V;随着水量的增加,感应电动势幅值逐渐升高,当水仓水量为100m³时,实测感应电动势幅值最高,在t=0.248ms时刻响应幅值约为0.1393V。

图7 不同水量下的感应电动势衰减曲线
为进一步分析水的响应随水量的变化情况,将水量为100,80,60,40,20m³时观测的感应电动势与水量为0m³实测数据相减,所得差值近似认为巷道前方水仓内水体的瞬变电磁场响应。图8为不同水量情况下水体的瞬变电磁异常响应曲线。①从中可见,实际观测因时间窗口从0.065ms开始,对该时刻以前瞬变场响应未能记录,与图3中的V2(t)曲线对比,实测曲线在0.065~0.5ms时间段的分布特征与V2(t)具有较高的相似性,因此,理论与试验结果均表明,坑道前方含水体在感应段产生负极性的感应电动势,在衰减段产生正极性的感应电动势。②从图8(a),(b)中可见,水仓内水体异常感应电动势在0.28ms以后差值约为0,表明本试验中坑道前方水仓内水体的最大瞬变响应延时为0.28ms,而该时刻以前测试数据受一次电动势和接收系统过渡过程影响,水仓水体异常电动势远小于实测感应电动势,现有处理方法难以解析出异常电性参数,实际探测中若遭遇类似情况,一般不能有效的超前预测预报坑道前方含水体。③从不同水量的异常瞬变电磁响应曲线对比可见,随水仓内水量的变化,异常响应幅值发生变化,但其响应时间窗口未有明显变化,因此,从本试验可见,当水仓位置不变时,水量变化通常会明显改变响应场幅值,而对响应场的时间窗口范围改变较小。一次电动势和接收系统过渡过程影响,水仓水体异常电动势远小于实测感应电动势,现有处理方法难以解析出异常电性参数,实际探测中若遭遇类似情况,一般不能有效的超前预测预报坑道前方含水体。④从不同水量的异常瞬变电磁响应曲线对比可见,随水仓内水量的变化,异常响应幅值发生变化,但其响应时间窗口未有明显变化,因此,从本试验可见,当水仓位置不变时,水量变化通常会明显改变响应场幅值,而对响应场的时间窗口范围改变较小。

图8 不同水量情况下水体的异常响应曲线
图9给出了不同时间窗口的水体异常感应电动势与水量变化的关系曲线。在感应段,由于水的异常电动势为负值,为方便获得该段异常电动势与水量的相关关系,将异常电动势取绝对值,获得图9(a)。从该图中明显可见,在整个感应段,坑道前方水仓内水量与其异常电动势在图中所示的单对数坐标系下近似呈线性变化关系,斜率约为一0.0037242,由此说明,在感应段,随水量递增,水的异常电动势幅值在对数域近似呈负向线性增长;图9(b)反映了衰减段水量与异常电动势的变化关系,与感应段相似,两者在单对数坐标系下也近似呈线性变化,斜率约为0.0031785,表明了在衰减段,随水量递增,其异常电动势幅值在对数域近似呈线性增加。总而言之,水量递增,其异常电动势响应越大,且其响应值在对数域内近似呈线性上升,但感应段和衰减段异常幅值的上升速度不同。

图9 不同时间窗口的水体瞬变场响应
与水量的变化关系
3 结论与讨论
给出了一次电动势表达式,并推导发射电流线性关断条件下全程二次感应电动势算法,利用理论全程数据与接收系统的冲激响应函数的卷积,获得了坑道瞬变电磁全程数据的响应特征,确定电流关断时间及接收系统过渡过程给瞬变场早、中延时数据造成严重畸变。建立了坑道超前1:1定量含水体模型,通过在坑道掘进工作面连续观测模型内不同水量对应的瞬变场响应数据,分析确定了水体受多匝小回线源激励,产生了瞬变场信号;利用不同水量时水体的异常响应曲线对比,确定:①坑道前方含水体在感应段产生负电动势,在衰减段产生正电动势,该结果与理论数据一致;②随水量线性递增,水体异常电动势绝对值在对数域呈线性上升,但在感应段上升快,衰减段上升相对慢;本试验中100m³ 水的最大瞬变响应延时为0.28ms,在采样时窗中基本属于畸变段,说明实际坑道超前探水需进一步研究利用畸变段数据,以提高对坑道超前近距离水体的识别能力。
通过本文研究可以看出,坑道超前近距离水体的瞬变场响应时窗短,衰减速度快,且在感应段表现出负电动势,这是以往未能直观认识到的,针对本文给出的坑道前方100m³水的情况,在实际中往往难以被有效识别,因此,笔者认为坑道超前探水技术(包含仪器设备、全程数据提取与解析方法等)仍需不断改进,其中重点需要减小发射电流关断时间,缩短接收系统暂态过程,增加瞬变场的有效观测时窗范围。
同时,希望技术人员在数据解析时不要言目舍弃畸变段数据,应对其多加利用,如在连续坑道超前探水过程中,可根据探掘验证对比,结合含水体的异常瞬变响应特征,对畸变段数据采用曲线比较的方法进行近距离水体的预测预报,进一步保障坑道安全掘进。
参考文献:
[1] 苏茂鑫,李术才,薛翊国,等.隧道地质预报中的瞬变电磁视纵向电导解释方法研究[J].岩土工程学报,2010.
[2] 孙怀凤,李术才,李貅,等.隧道瞬变电磁多点阵列式探测方法研究[J].岩石力学与工程学报,2011.
[3] 张平松,李永盛,胡雄武.坑道掘进瞬变电磁超前探水技术应用分析[J].岩土力学,2012.
[4]张军,赵莹,李萍.矿井瞬变电磁法在超前探测中的应用研究[J].工程地球物理学报,2012.
[5] 张平松,程桦,吴荣新,等.巷道掘进瞬变电磁法跟踪超前预报分析[J].地下空间与工程学报,2013.
[6] 嵇艳鞠,林君,于生宝,等.ATTEM系统中电流关断期间瞬变电磁场响应求解的研究[J].地球物理学报,2006.
[7] 王华军.阻尼系数对瞬变电磁观测信号的影响特征[J].地球物理学报,2010.
[8] 张爽,刘紫秀,陈曙东.瞬变电磁传感器阻尼特性的标定研究[J].地球物理学报,2014.
[9] 孙天财.发射电流波形对瞬变电磁测量结果影响及校正研究[D].重庆重庆大学,2008.
[10] 陈清礼.瞬变电磁法全区视电阻率的二分搜索算法[J].石油天然气学报,2009.
[11] 杨海燕,邓居智,张华,等.矿井瞬变电磁法全空间视电阻率解释方法研究[J].地球物理学报,2010.
[12] 胡雄武,张平松,严家平,等.坑道掘进瞬变电磁超前探水解释方法的改进研究[J].岩土工程学报,2014.
[13] 胡雄武,张平松,严家平,等.矿井瞬变电磁超前探测视电阻率扩散叠加解释方法[J].煤炭学报,2014.
[14] 陈生潭信号与系统[M].2版.西安:西安电子科技大学出版社,2001.
[15] 牛之琏.时间域瞬变电磁法原理[M].长沙中南大学出版社,2007.
[16] 蒋邦远.近区磁源瞬变电磁法勘探[M].北京:地质出版社,1998.
文章摘自:
《岩土工程学报》2014年11期
给出了一次电动势表达式,并推导发射电流线性关断条件下全程二次感应电动势算法,利用理论全程数据与接收系统的冲激响应函数的卷积,获得了坑道瞬变电磁全程数据的响应特征,确定电流关断时间及接收系统过渡过程给瞬变场早、中延时数据造成严重畸变。建立了坑道超前1:1定量含水体模型,通过在坑道掘进工作面连续观测模型内不同水量对应的瞬变场响应数据,分析确定了水体受多匝小回线源激励,产生了瞬变场信号;利用不同水量时水体的异常响应曲线对比,确定:①坑道前方含水体在感应段产生负电动势,在衰减段产生正电动势,该结果与理论数据一致;②随水量线性递增,水体异常电动势绝对值在对数域呈线性上升,但在感应段上升快,衰减段上升相对慢;本试验中100m³ 水的最大瞬变响应延时为0.28ms,在采样时窗中基本属于畸变段,说明实际坑道超前探水需进一步研究利用畸变段数据,以提高对坑道超前近距离水体的识别能力。
通过本文研究可以看出,坑道超前近距离水体的瞬变场响应时窗短,衰减速度快,且在感应段表现出负电动势,这是以往未能直观认识到的,针对本文给出的坑道前方100m³水的情况,在实际中往往难以被有效识别,因此,笔者认为坑道超前探水技术(包含仪器设备、全程数据提取与解析方法等)仍需不断改进,其中重点需要减小发射电流关断时间,缩短接收系统暂态过程,增加瞬变场的有效观测时窗范围。
同时,希望技术人员在数据解析时不要言目舍弃畸变段数据,应对其多加利用,如在连续坑道超前探水过程中,可根据探掘验证对比,结合含水体的异常瞬变响应特征,对畸变段数据采用曲线比较的方法进行近距离水体的预测预报,进一步保障坑道安全掘进。
参考文献:
[1] 苏茂鑫,李术才,薛翊国,等.隧道地质预报中的瞬变电磁视纵向电导解释方法研究[J].岩土工程学报,2010.
[2] 孙怀凤,李术才,李貅,等.隧道瞬变电磁多点阵列式探测方法研究[J].岩石力学与工程学报,2011.
[3] 张平松,李永盛,胡雄武.坑道掘进瞬变电磁超前探水技术应用分析[J].岩土力学,2012.
[4]张军,赵莹,李萍.矿井瞬变电磁法在超前探测中的应用研究[J].工程地球物理学报,2012.
[5] 张平松,程桦,吴荣新,等.巷道掘进瞬变电磁法跟踪超前预报分析[J].地下空间与工程学报,2013.
[6] 嵇艳鞠,林君,于生宝,等.ATTEM系统中电流关断期间瞬变电磁场响应求解的研究[J].地球物理学报,2006.
[7] 王华军.阻尼系数对瞬变电磁观测信号的影响特征[J].地球物理学报,2010.
[8] 张爽,刘紫秀,陈曙东.瞬变电磁传感器阻尼特性的标定研究[J].地球物理学报,2014.
[9] 孙天财.发射电流波形对瞬变电磁测量结果影响及校正研究[D].重庆重庆大学,2008.
[10] 陈清礼.瞬变电磁法全区视电阻率的二分搜索算法[J].石油天然气学报,2009.
[11] 杨海燕,邓居智,张华,等.矿井瞬变电磁法全空间视电阻率解释方法研究[J].地球物理学报,2010.
[12] 胡雄武,张平松,严家平,等.坑道掘进瞬变电磁超前探水解释方法的改进研究[J].岩土工程学报,2014.
[13] 胡雄武,张平松,严家平,等.矿井瞬变电磁超前探测视电阻率扩散叠加解释方法[J].煤炭学报,2014.
[14] 陈生潭信号与系统[M].2版.西安:西安电子科技大学出版社,2001.
[15] 牛之琏.时间域瞬变电磁法原理[M].长沙中南大学出版社,2007.
[16] 蒋邦远.近区磁源瞬变电磁法勘探[M].北京:地质出版社,1998.
文章摘自:
《岩土工程学报》2014年11期