晋东南办事处 孙志强
摘要:目前晋煤集团下属各矿主要开采沁水煤田的3#煤、9#煤、15#煤,但综采工作面内延展的断层、隐伏构造及其煤层变薄带都将对煤矿企业综合机械化采煤产生重大的经济损失,山西省煤炭厅下发的煤矿质量标准化中规定回采工作面需要有坑透资料,而目前各矿主要应用的无线电波透视仪器对薄煤层的探测效果不好,有些地区在9#煤、15#煤甚至无法穿透,华虹公司根据无线电波坑道透视法的探测原理及技术参数的影响因素,提出了参数的选择及干扰因素的排除方法,介绍了如何选择频率、采样点距等技术参数,对煤矿回采工作面中的工作目标做出重要贡献。关键词:薄煤层;坑透;实测场强;夹矸;构造;CT成像
1 无线电波透视法原理
1.1 无线电波透视法基本原理
电磁波在地下岩层中传播时,由于各种岩、矿石电性的不同,它们对电磁波能量吸收不同,低阻岩层对电磁波具有较强的吸收作用,当波前进方向遇到断裂构造所出现的界面时,电磁波将在界面上产生反射和折射作用,也造成能量的损耗。因此,在矿井下,电磁波穿过煤层途中遇到断层、陷落柱或其它构造时,波能量被吸收或完全被屏蔽,则在接收巷道收到微弱信号或收不到透射信号,形成所谓的透视异常。研究采区煤层、各种构造及地质体对电磁波的影响所造成的各种无线电波透视异常,从而进行地质推断和解释。
1.2 无线电波透视法简介
1.2.1 透视工作方法
井下坑透法一般在两巷道间进行,如在回风巷布置发射点,向煤层中发射某一频率的电磁波,在运输巷安置接收机观测电磁场场强H信号,电磁波在煤层传播中遇到介质电性变化时,电磁波被吸收或屏蔽,接收信号显著减弱或收不到有效信号,如沿巷道多点观测,则形成所谓的透视异常。发射点和接收点可布置在回风巷、进风巷等易于通行和干扰小的地段。
井下观测方法有同步法和定点法两种方式。同步法是发射天线和接收天线分别位于不同巷道中,同时等距离移动,逐点发射和接收,如图一所示,该方法施工时在井下发射接收同步较困难,因此较少采用。

图一 同步法发射与接收示意图

图二 定点法发射与接收范围示意图
(1)在观测前,预先安排好观测约定时间顺序,列出时间表格,发射和接收各持一份;
(2)观测时,严格按时间表执行,发射机天线应平行巷道,悬持成多边形,应保持发射信号稳定;
(3)接收天线环面对准发射机的方向,即观测最大值方向。
1.2.2 仪器设备简介
地下电磁波衰减的透射异常区(“阴影”区)并非单由一次场的吸收所形成的,而且还受很多其它因素的影响。如感应二次场引起的干涉、煤层(或岩层)的不均匀性和各向异性、直达波、巷道的反射及漫反射波,以及煤层顶底板的围岩波等,所以观测场强值可能是几种波的综合值。结果使“阴影”变得模糊,以至于不能准确判定异常体位置,因此,选择最佳工作频率是很关键的。频率过高,即使是高阻的岩石也会产生明显的吸收作用,结果很可能不能突出要寻找的地质异常体的“阴影”区,而地质异常体的围岩却形成了“阴影”区;如果频率过低,则由于一次绕射作用,使得要寻找的地质异常体可能被掩盖。因此,为了得到明显的“阴影”区,必须选择最佳的工作频率。
本次勘探使用YDT88型矿用无线电波透视仪,YDT88矿用无线电波透视仪是由福州华虹智能科技开发有限公司联合相关高校院所,引进先进的数字通信调制、高速采集、嵌入式系统等技术开发完成的新一代无线电波透视仪。该仪器具有轻便灵活、智能高效、透视距大、抗干扰能力强、续航时间长等特点。同时基于仪器所形成的“一发双收”“一发一收”等现场工作方法,极大提高现场施工效率和探查精度。图三为YDT88矿用无线电波透视仪系统组成图。

图三 YDT88矿用无线电波透视仪系统组成图
巷道中的人工导体,对电磁波的传播起干扰作用,不同的导体对电磁波传播的影响不同。
(1)金属支架,对电磁波有少量的屏蔽吸收作用。
(2)接地的铁轨、电溜子,对电磁波有一定的导引作用。存在二次场,实际观测中发现在铁轨附近,场的梯度较大,二次场的影响范围在0.8m以下,故接收天线环距铁轨、电溜子高于1m,二次场的影响就可忽略不计。
(3)悬挂在巷道壁上铁管的二次场的强弱,与距发射点的远近有关,在铁轨不连通的情况下,二次场很弱,接收天线环离开1m,影响可忽略不计,同巷发射接收,二次场的干扰,仅次于电缆干扰强度。
(4)电缆、金属锚网及其它导体,对电磁波有很好的导引作用,天线辐射的电磁波感应到导线上沿着导线传播,成为电磁波的二次辐射源。接收巷道有导线时,天线接收的场,有从煤层来的直达波和导线上的二次辐射场,当二次辐射场大于直达波时,它就掩盖了直达波,使透视工作无法进行。
1.3 资料处理与解释
1.3.1 场强对比法
通常用图示方法来描述沿观测巷道或在透射范围内场强的变化规律。
综合曲线图:将同一发射点对应接收点的实测场强H值、理论场值H0值和衰减系数η值按给定比例尺绘制成剖面图,该方法以接收点点位为横坐标。
交会平面图:在采区平面工程图上,标定各发射点和对应的接收点。根据综合曲线确定边界点,将该点与对应的发射点连线,于是由不同发射点所对应的接收点绘出相应的边界射线,各射线所围定的范围便为异常体的平面位置,如图四所示。

图四 无线电波透视曲线交会法解释示意图
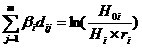
工作面无线电波透视法采用偶极子天线发射,在介质中任意点的场强表达式可表示为:

β—介质对电磁波能量的吸收系数;
r—观测点到辐射源的直线距离;
sinθ—方向性因子,一般可认为等于1。
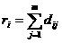
如图五所示,把坑透工作面划分成有不同吸收系数的若干小单元(像元),每一小单元内可视为介质均匀的。假设电磁波的第i个传播路径为ri,则它可以表示为若干小单元的距离之和:


两端取对数有:

若在多个发射点上对场强分别进行多重观测,便可形成矩阵方程:
[X][D]=[Y]
式中:[X]—βi未知数矩阵;[D]—

利用SIRT算法(Simultaneous Iterative Reconstruction Techniques,同时迭代重构技术),计算矩阵方程可以反演各像元吸收系数值,从而实现工作面成像区内吸收系统反演成像。利用反演计算结果可以绘制成像区吸收系数等值线图和色谱图。

图五 坑透CT成像单元离散示意图
本次探测在晋煤集团寺河二号井94304工作面进行,94304工作面开采9#煤层,工作面长约740m,宽约135m,沿煤层底板掘进,煤层顶板为细砂岩。该区域9#煤层厚度1.5m左右,煤层内夹矸变化较大,构造简单,实揭断层3条,落差均小于1m。本次物探工作采用无线电波透视法,主要完成的地质任务为对回采工作面内的薄煤带(夹矸变厚区)影响范围作出评价,并对已揭露断裂构造的在采面内的影响范围进行评价。
3 施工布置与数据采集
现场数据采集于2013年3月29日完成。在进风巷共布置14个发射点,回风巷对应接收点154个;回风巷布置14个发射点,进风巷对应接收点154个。
3.1 现场观测系统布置
根据探测目的和现场实际情况,本次探测工作从进风巷入口处开始每隔50m布置一个发射点,共布置14个发射点,每个发射点在回风巷对应有11个接收实测场强点,接收点距为10m;到切眼处后交换巷道,同样在回风巷从切眼处开始每隔50m布置一个发射点,每个发射点在进风巷对应有11个接收点。如下图六所示:

图六 无线电透视法现场探测布置
为了采集到高质量的第一手资料,现场采取如下技术措施:
(1)本次坑透工作在采面内采用对发对收,每10m一个接收点,即一个物理测点,每50m布设一个发射点。
(2)对应每个发射点,在另一巷的扇形对称区间接收11个点,以确保面内各物理测点有两次以上的覆盖。
(3)天线离开电缆0.5m以上。
(4)严格按照计划表施工,作好记录并标注出实际发射时间和实际接收时间。为确保原始资料质量,施工严格按照“煤田电法勘探标准”进行,现场检查点不少于5%,使原始数据资料准确可靠。
YDT88坑透仪采集数据评价:本次探测采用频率365Khz,总体上该煤层实测场强值在50-90db,最小值50db左右。从实测数值来看,背景测试值较高,在40db左右,与最高场强值相比,有较大的变化范围,说明本次采集数据信噪比高,采集数据可靠。
4 探测结果
采集数据采用无线电波透视CT软件系统进行反演,反演结果以实测场强曲线图、吸收系数反演成像图和SIRT法叠代CT成像图表示。CT成像图为煤岩层电磁波吸收系数值通过SIRT迭代反演后的结果图,数据值大小用不同色标值表示,其中暖(红)色调为低电磁波吸收系数值,冷(蓝)色调为高电磁波吸收系数值。YDT88坑透仪探测结果如图七-图十所示。
4.1 实测场强值曲线图
YDT88坑透仪探测实测场强曲线图见图七-图八,由此可见:
1)回风巷16-25#点、进风巷15-28#点段为场强相对低值区段,其场强值在65db或小于65db,相比穿透性较差。这种现象表明,该段煤岩层对无线电波的吸收性相对较强,该区段进风巷实揭一条落差0.97m断层,推断其可能为断层导致的破碎带范围所致。

图七 回风巷实测场强曲线图
2)回风巷40-65#、进风巷40-60#点段为场强相对低值区段,其场强值在55-65db左右范围,无线电波信号穿透性相对较差。这种现象表明,该段煤岩层对无线电波的吸收性强,该区段实际揭露煤层夹矸较厚,且有小断层发育,推断其可能为局部断层带或薄煤带影响所致。

图八 进风巷实测场强曲线图
YDT88坑透仪探测无线电波吸收系数成像图九,其中暖色调(红黄)区越深表明其场强值越低,吸收系数越大,即该段煤层无线电波穿透能力低,为潜在的构造或薄煤带异常区。根据该结果图可圈定A1#、A2#、A3#透视异常区,详细见图九。

图九 94304回采工作面无线电波透视法吸收系数结果图
图十为YDT88坑透仪探测SIRT反演煤岩层吸收系数成像图。该图中SIRT迭代反演吸收系数的强弱表明煤层介质的差异,图中暖色标(红黄)表示强吸收系数值,其颜色越深表示存在异常的可能性越大,因此可以对内部构造及其特征进行判定。根据该结果图可圈定B1#、B2#、B3#透视异常区,详细见图十。

图十 94304回采工作面无线电波透视法SIRT反演(CT成像)图
5.1 结论
根据图七回风巷实测场强曲线图、图八进风巷实测场强曲线图、图九吸收系数结果图、图十SIRT反演(CT成像)图综合分析,共圈定3个异常区范围,即A1#、B1#异常区为同一异常区,A2#、B2#异常区为同一异常区,A3#、B3#异常区为同一异常区,重新统一命名为1#、2#、3#异常区,详细描述如下:
1#异常区:进风巷440-560m左右位置,推断其为进风巷揭露落差0.97m断层的影响范围,对采面的回采有一定影响。
2#异常区:回风巷140-360m、进风巷120-320m左右区域范围,推断其为煤层夹矸变厚区的影响范围。回风巷和进风巷在测线的0-320m分别揭露为夹矸变厚区(图九和图十红色矩形圈定区域),根据坑透结果吸收系数异常区范围于实际揭露资料综合分析,在回风巷0-140m、进风巷0-120m范围内煤层夹矸变厚区向采面内延伸范围可能较小,在回风巷140-360m、进风巷120-320m范围内夹矸变厚区在采面内可能延伸范围较大。
3#异常区:进风巷50-120m左右位置,推断其为进风巷所揭露落差0.55m断层的影响范围。
5.2 存在问题及建议
(1)现场标注测点存在测点之间的误差和累计误差,而坑透对异常区沿顺槽方向位置的解释主要靠测点来控制,因此异常区解释位置可能因测点标注的误差存在解释误差。
(2)由于坑透技术仅为间接物探探测手段,分析成果仅为依据工作面煤层、围岩的视电阻等电性特征推断,而井下全空间环境能够引起煤层、围岩电性变化的因素较多,解释成果难免存在多解性和误差。
(3)针对上述坑透异常区,建议矿方在工作面回采前应采取钻探等手段进一步排查,工作面回采过程中接近各个异常区时要做好顶板管理,同时做好过地质构造、异常区或富水区的防治水工作,完善工作面排水系统,确保工作面高效安全回采。
参考文献:
【1】吴荣新.刘盛东.肖玉林.徐翀.工作面无线电波透视实测场强成像分析与应用[期刊论文]-岩土力学2010(z1)
【2】宁书年,张绍红,杨峰等.无线电波层析成像技术在矿井坑透中的应用【J】.煤炭学报,2001.
【3】刘广亮,于师建.基于质心频移的无线电波透视层析成像【J】.地球物理学进展,2008,23(2):583-587.
【4】期刊论文.无线电波透视法地质效果影响因素分析-河北煤炭-2008(3)
【5】吴荣新,方良成.无线电波透视成果综合评判【J】.淮南工业学院学报,2001.
【6】王琦.实测坑透资料的层析成像特殊处理效果【J】.煤田地质与勘探,200l.
【7】宁书年,张绍红,杨峰等.无线电波层析成像技术在矿井坑透中的应用【J】.煤炭学报,2001.
【8】董守华,王琦.层析成像在巷道无线电波透视法中的应用【J】.中国矿业大学学报,2003.
作者简介:
孙志强,男,黑龙江科技学院资源勘查工程专业。华虹公司晋东南办主任工程师。