张国义1;柏景一2;谭立海3
(1龙煤集团七台河分公司新兴煤矿地质副总;
2龙煤集团七台河分公司新兴煤矿地测组长;
3 福州华虹智能科技开发有限公司驻东北办事处技术工程师)
摘 要:矿井地质构造及煤层赋存情况直接影响着矿井生产安全而且还控制着煤层瓦斯、矿井水体、地下应力场等的分布与变化规律。可靠准确的地质构造和煤层赋存情况预测对矿井采区、工作面、巷道等系统的合理布置、采取有效的措施确保矿井安全生产具有十分重要的意义。龙煤集团七台河分公司矿区内煤层多、薄、构造复杂,随着井下采掘工艺机械化水平不断的提高,摸清掘进巷道前方及工作面内部的地质情况,为生产部门提供及时准确的地质资料,以成为主要地质问题。2011年七台河分公司引进了福州华虹公司的KDZ1114-6A30矿用地质探测仪,经过一段时间的使用解决了一些地质预测预报问题,为安全采掘打下良好的基础。关键词:多煤层;薄煤层;矿井地质探测仪;安全采掘;安全生产;地质预测预报
1、矿井震波勘探的原理与方法
1.1、矿井震波勘探的基本原理
矿井震波勘探是以不同岩性的岩层具有不同的弹性的事实为依据的。在介质的某一点人工激发地震波,在介质其他若干点上用检波器记录从震源直接传播过来的直达波,或从不同弹性的岩层分界面传播过来的反射波、折射波,通过研究相邻各道的地震记录(波的传播时间、速度、波形及振幅等),掌握弹性波地下传播规律,利用相应的震波数据处理方法和解析方法,求得弹性分界面的空间位置及其性质,从而完成矿井震波勘探的主要地质任务。
1.2、矿井震波探测方法
矿井震波探测常用方法有:反射法、折射法、面波法、自激自收法等,本文所应用的是单点探测方法。
单点探测技术是源于反射波勘探中的自激自收方式,通过接收岩、煤层界面的地震波垂直反射信号,来解析计算目的层距离或厚度的。由反射波时距曲线方程:


图一 单道观测系统波路图图
KDZ114-6A30矿井地质探测仪主要采用震波勘探原理,利用人工激发的震波为弹性波波源,对被探测介质的厚度(距离)和速度进行探测,采用自激自收解析法、瑞雷波解析法、折射解析法及反射解析法进行数据采集和解析。这四种解析方法应用于仪器内核,构成仪器四种全自动、半自动、手动探测方法,即单点探测、双点探测、折射探测与反射探测。目的是使仪器适用性更加广泛,突破以往使用探测仪器只能专业人员介入的局面(如图二仪器系统组成图)。

图二 仪器系统组成图
1、施工现场布置:在现场布置测线要求有足够的空间锤击、布检波器最好较少;最好附近没有开动的皮带机、综采机等的干扰;测线尽量是直线。
2、用锤击作震源,在松软地方,可在上面垫一个锤垫,锤击点和检波器最好在同一个介质中,尽量使锤击点和检波器在同一水平线上。加大锤击力度,增加锤的重量,能增加探测距离。
3、预估测线长度并控制在许可的工作量范围内,但应保证测线中有一段测点应处于非异常区内,这样有利于异常和非异常的对比。
4、检查仪器是否充电,设备配件及井下常用工具是否齐全,下井前可列出一份清单,照清单一一领取,以避免缺件影响井下工作。
5、在井下拉测线的同时,可用粉笔将测点编号标好,以便测试和记录。
6、现场击震要保证击震方向和探测方向一致。
7、检波器和介质要充分耦合以便接收信号;对于表面松散的介质,可用钢钎插至致密处,再将检波器的尖头用铁丝或胶带与钢钎捆紧,以消除浮煤的影响。
8、有效波形的判断:起跳前没有干扰波(近似为一条直线),起跳清晰,波形圆滑,没有削波,波形完整,不掉波。
1.3资料处理与分析
1.3.1处理方法
单点法通过实测中多次垂直叠加消除干扰波采集原始信号,再进行室内回放进一步细化处理。除了可抽取各偏移距单道记录进行处理外,还可进行多道叠加处理,其处理流程如下:

1.4.1 地质条件
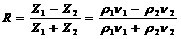
煤层在煤系地层中,属一个低速、低密度的软弱夹层。按照波阻抗理论,设Z1为煤层的波阻抗,Z2为顶板岩石的波阻抗,则有Z1=ρ1V1 ,Z2=ρ2V2 其中,ρ,V为介质密度和介质震波速度。
由震波反射原理,波阻抗存在差异的两层界面的反射系数R为

1.4.2 裂隙作用
放顶煤开采及巷道掘进过程中,侧帮受应力作用,产生大量的垂直张裂隙,在井下实际观测过程中,这种张裂隙大多呈网格状切割,从而导致顶板波速的横向变化较大,限制了小排列地震折射法和反射探测法,这时我们可以找到相对密度、被周边的裂隙所切割体积元,在单个体积元上进行自激自收,将会取得较好的效果。
1.4.3 井下空间
井下场地限制了其物探方法的工作空间,要想快速、准确地查明顶煤厚度,就只能采用零偏移距方法来进行。在巷道中或支架中,采用单个检波器检测单次锤击所反射回来的声波,用自激自收解析法对声波数据进行解析。
1.4.4 震源扰动作用
在井下地震探测中,震源在产生有效纵波、横波的同时,还产生大量的干扰信号,这种震波的干扰主要表现在面波和击震点的延时作用。根据干扰的一般特征,可从3个方面加以限制,提高采集信号的信噪比。其二,接收仪器的前置模拟滤波档要向高频移动。其三是使用的声波传感器,要求宽频、高阻尼特征。
2案例分析
2.1、地质概况及探测任务
新兴煤矿井区属勃利煤田,煤系地层属于鸡西群,构造复杂主要为向南倾斜的单斜,倾角一般为15°-30°,有倾向正断层切割煤系。是多煤层、薄煤层区。含煤一百多层,可采和局部可采10-42层。煤层厚度-般在0.60-1.20 m之间,可采总厚为10-40m。全区可采的煤层很少,大部分是井区范围内稳定。
(1)案例一:探测位置位于六采区三水平右三片58层回头巷道内拐点前方15m左右,此巷是为采煤工作面下巷巷道,是过断层后的穿岩巷道,探测位置位于断层下盘内,迎头为砂岩,岩性相对破碎,为了解并寻找58层煤的位置,特进行了本次的物探(58层煤厚一般在0.8m-1m左右,倾角一般在20°-35°之间)。
(2)案例二:探测位置位于三采区三水平右二片66层平巷12号点前48米左右,此巷道为半煤岩巷道,煤层倾角一般在20°左右,煤层厚度为0.8-1.4m左右,巷道宽3m,高2.8m,66煤为焦煤,煤质松软,为探测迎头前方构造情况,进行了本次物探。
(3)案例三:探测位置位于五采区三水平右二片66层石门9号测点前55米,探测巷道是穿岩巷道,寻找前方含煤情况,特进行了本次物探。
2.2、现场观测系统布置
因新兴煤矿针对迎头前方含煤地层或是构造探测,针对巷道实际情况及煤层、岩层的和井下工作迎头的实际情况,对巷道迎头进行了双检波器单点探测,根据地震波反射技术法对迎头前方的构造发育情况和含煤情况进行了可行性评价。
2.3、探测结果
(1)案例一:六采区三水平右三片58层回头探测结果分析

图三 直接处理分析法

图四 单点处理分析法


(2)案例二:三采区三水平右二片66层平巷12号点前48米迎头探测结果分析

图五 直接处理分析法

图六 单点处理分析法


(3)案例三:五采区三水平右二片66层石门9号测点前55米。

图七 直接处理分析法


3、结果验证情况
(1)案例一:井区工作队对六采区三水平右三片58层回头巷道迎头超前探测异常位置进行了验证,经掘进验证,在物探探测位置(4#测点前15m)前掘34米(4#测点前49m)时见煤,与物探预测预报的的32米(4#测点前47m)异常点距离相差2米。故误差为2米。(验证情况如图八)

图八 验证结果素描与探测结果对比图

图九 案例二验证结果素描与探测结果对比图

图十 案例三验证结果素描与探测结果对比图
(1)通过探测结果与巷道实际揭露情况对比分析,震波单点探测法对控制迎头前方含煤地层和构造及煤层歼灭情况的探测具有可行性,对掘进巷道的安全掘进具有一定的指导意义。
(2)震波单点法在探测含煤地层或构造方面上对目标探测体的走向、倾向、倾角的效果还是不显著。
(3)在实际生产中仍需要根据巷道实际揭露的资料情况和探测目标体确定,再结合探测资料进行二次解释来提高此种探测方法的准确性,为巷道的安全掘进指导生产。
(5)针对震波单点每次探测情况,如何做到探测速度的准确,是今后在工作中长期积累总结的重点。
作者简介:
谭立海,男,毕业于辽源职业技术学院矿山地质专业,现任东北办事处助理工程师。