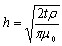
答:单一增大线框宽度不能增大探测深度,瞬变电磁场的探测深度主要由测量时间和地下介质的视电阻率来确定。当地下均为均匀介质时,地面发射线圈中的电流被切断后,感应电流随时间向地下扩散,电流被关断后某一时刻地下最大涡流所在深度由以下公式计算:
h __ 探测深度
t __ 扩散时间
ρ --探测目标体的视电阻率
μ0 --探测目标体的磁导率
至于发射回线(接收回线)与探测深度的关系,只是为了保证接收线框内有足够的信号强度。同时,由于回线在一定的范围内线框越小,其体积效应也越小,其横向、纵向分辨率也越高。
使用大的发射框实际上就是加大发射功率,从而增强有用信号。瞬变电磁发射信号与发射面积、电流、线圈匝数成正比。所以理论上说,增大发射面积、增加发射电流和增加线圈匝数也可以增大勘探深度,但是增加匝数会导致线圈的互感效应增加,加大线阻,使发射电流降低。在应用中要权衡考虑这些问题。
问:瞬变电磁探测方向的反方向的磁场是否可以屏蔽掉?
答:不能屏蔽掉,只能相对减弱。线圈发射的电磁波是朝着相反两个方向传播的,据称在全空间的条件下,也就是在矿井条件下,当线圈与地质体(如顶板、底板)的距离小于线圈与相反方向物体(如底板、顶板)距离的1/3时,反方向的接收电磁波会减弱,所以在探测地质体时应尽量使线圈靠近目标体。在半空间的条件下,也就是在地面条件下,虽然反方向也发射电磁波,但是空气介质导电很弱,所以只产生非常微弱的二次涡流场,被接收系统抑制,基本可忽略不计,因此地面上瞬变电磁反方向的电磁波将不会产生影响。
问:除了现场低阻物质的干扰,对瞬变电磁数据质量的干扰因素还有哪些?岩层或煤层内部的哪些情况会对数据产生干扰,从而导致跳点过多。
答:除了现场低阻物质的干扰,对瞬变电磁数据质量的干扰因素还有:
(1)电磁干扰,由天电产生的电磁噪音是TEM频带中的电磁干扰的主要成分,总感应噪声与接收回线的面积成正比,噪声谱随纬度、季节和日期改变。
(2)地质噪声干扰,例如冰川地质环境的TEM效应很弱,所以在冰川地区适用成功的电磁系统,可能在干旱地质环境完全不适应。
(3)人为电磁场噪声的干扰。如电力线网、有线广播网等设施产生的电磁场。
跳点过多是信号偏弱所致,也就是现场的信噪比低,另外高阻环境,线圈短路,都是导致信噪比低的原因。
问:地震提取软件使用过程中,提取转换文件时不能正常提取,出现下位机文件格式有误的原因及解决办法。
答: 原因:
①、实验前主机原有数据文件未进行删除,原数据文件已经被破坏,导致本次试验数据文件被破坏,文件比较大,不能上传转换。
②、主机馈电状态下,导致数据不能正常提取和转换。
解决办法:
①、实验前将主机存储器清空;
②、主机充电。




下一篇